Содержание к диссертации
Введение
Глава 1. Обзор исследований повреждения коллекторов ПГ АЭС с ВВЭР-1000 13
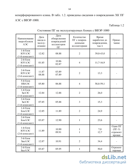
1.1. Состояние и причины повреждения коллекторов ПГ АЭС с ВВЭР-1000 13
1.2. Модель развития трещин в конструкционных сплавах с использованием КИН 24
1.3. Влияние водорода на свойства конструкционных сплавов. Водородное охрупчивание 32
1.4. Выводы к главе 1 34
Глава 2. Параметрические детерминистические модели коррозионных процессов. Усовершенствование методики расчета КИН для КС применительно к коллекторам ПГ АЭС с ВВЭР-1000 (сталь марки 10ГН2МФА) 35
2.1. Конструкция объекта исследования 35
2.1.1. Конструкция ПГ АЭС с ВВЭР-1000 35
2.1.2. Конструкция коллекторов теплоносителя ПГ АЭС с ВВЭР-1000 38
2.1.3. Сведения о конструкционном сплаве - стали марки 10ГН2МФА 44
2.2. Особенности режимов эксплуатации ПГ АЭС с ВВЭР-1000 48
2.2.1. Водно-химический режим в эксплуатируемых ПГ АЭС с ВВЭР-1000 48
2.2.2. Температурная разверка по периметру «холодного» коллектора. Мо дель гальванической системы в зазоре недовальцовки коллектора 51
2.3. Коррозионное растрескивание под напряжением конструкционных сплавов 56
2.3.1. Механизм коррозионного растрескивания под напряжением 56
2.3.2. Факторы коррозионного растрескивания под напряжением. Диаграмма Венна 60
2.4. Методика расчета накопления водорода в КС 66
2.4.1. Взаимодействие КС с водородом 66
2.4.2. Этапы развития трещин при водородном охрупчивании 69
2.4.3. Методика расчета накопления водорода в стали марки 10ГН2МФА 72
2.4.4. Долговечность КС при действии нескольких ЧПП 76
2.5. Усовершенствование методики расчета КИН для стали марки 10ГН2МФА 78
2.5.1. Общие сведения о КИН 78
2.5.2. Усовершенствованная методика расчета КИН в стали марки 10ГН2МФА 81
2.6. Выводы к главе 2 84
Глава 3. Результаты расчета накопления водорода в стали марки 10ГН2МФА 86
3.1. Аддитивная и неаддитивная методики расчета накопления водорода в стали марки 10ГН2МФА в условиях работы коллектора ПГ АЭС
с ВВЭР-1000 86
3.1.1. Аддитивная методика расчета накопления водорода в стали марки 10ГН2МФА 86
3.1.2. Неаддитивная методика расчета накопления водорода в стали марки 10ГН2МФА 89
3.1.3. Обсуждение результатов расчета 92
3.2. Оценка кратности приращения ресурса стали марки 10ГН2МФА в условиях наводороживания и низкотемпературного отжига (НТО) – имитация условий эксплуатации коллектора ПГ АЭС с ВВЭР-1000 93
3.2.1. Накопление водорода сталью после НТО 93 3.2.2. Экспериментальное обоснование эффективности повторных НТО 94
3.2.3. Измерение концентрации водорода в стали марки 10ГН2МФА 97
3.2.4. Обработка результатов экспериментальных испытаний 100
3.2.5. Обсуждение результатов 102
3.3. Выводы к главе 3 102
Глава 4. Результаты расчета КИН для стали марки 10ГН2МФА с учетом влияния водородного охрупчивания и других параметров 104
4.1. Расчет зависимости КИН от динамики накопления водорода 106
4.2. Расчет зависимости порогового КИН от других параметров 107
4.3. Изменение ресурса коллектора в зависимости от КИН 109
4.4. Расчет КИН для коллекторов ПГ АЭС с ВВЭР-1000
с заданным дефектом 111
4.5. Обсуждение результатов расчета 112
4.6. Выводы к главе 4 114
Выводы по работе 115
Литература
- Модель развития трещин в конструкционных сплавах с использованием КИН
- Сведения о конструкционном сплаве - стали марки 10ГН2МФА
- Обсуждение результатов расчета
- Изменение ресурса коллектора в зависимости от КИН
Модель развития трещин в конструкционных сплавах с использованием КИН
Вероятностно-статистические методы получили достаточно широкую разработку. Они опираются на теорию вероятности и математическую статистику для установления закономерностей возникновения отказов, изучения физико-химических процессов, приводящих к разрушению оборудования АЭС, расчета поведения оборудования АЭС в процессе эксплуатации, т.е. прогнозирования.
Недостатки вероятностно-статистических методов: - Вероятностно-статистические методы несовершенны, так как для установления закономерностей возникновения отказов необходимо проводить опыты, приводящие к изменению свойств и разрушению оборудования АЭС; - Эти методы не дают точного анализа состояния оборудования при эксплуатации. В сегодняшние дни не существует достаточно общей математической теории, позволяющей подсчитывать долговечность сложных систем. Кроме того, при прогнозировании остаточного ресурса оборудования АЭС на этапе проектирования расчеты далеки от того, что происходит на самом деле и объясняется это несовершенством математической модели. Поэтому, в соответствии с вероятностно статистическими методами возможно с определенной степенью достоверности предсказать момент наступления отказа, а не предупредить его и обеспечить надежность работы оборудования АЭС. Детерминистический (причино-следственный) метод: Детерминистический метод позволяет оценить надежность как отдельного элемента системы, так и всей системы в целом, при одновременном воздействии нескольких внешних и внутренних факторов.
В отличие от прогнозирования ресурса на стадии проектирования, когда анализируется ресурс генеральной совокупности проектируемых технических систем, на стадии эксплуатации предполагается прогнозирование индивидуального остаточного ресурса с привлечением данных дефектоскопического контроля. Остаточный ресурс может существенно превышать проектный ресурс, что обусловлено различием принятых критериев предельного состояния технической системы на стадиях проектирования и эксплуатации, поскольку при анализе остаточного ресурса принимается во внимание рост трещин до предельных размеров.
Критерий предельного состояния: Имеется понятие «мера повреждения» (МП) – отношение физически измеряемого признака повреждения вследствие ЧПП КС к предельному значению этого признака перед разрушением (критерию предельного состояния КС при данном процессе). Обозначается Dlim - числовое значение критерия предельного состояния. Для разных ЧПП этот критерий будет иметь разную размерность. Например: - для усталости: Dlim = Nlim – предельное число циклов нагружения; - для ВО: Dlim = CHlim2 - предельная концентрация водорода в КС перед разрушением; - для радиационного повреждения от нейтронного облучения: Dlim = Tklim предельное значение критической температуры хрупко-вязкого перехода.
При анализе остаточного ресурса потенциально опасных поврежденных технических систем, к которым относятся, например, объекты атомной энергетики, статистические данные о возможных сценариях аварий и катастроф не всегда доступны в силу уникальности систем и редкости аварийных ситуаций. Таким образом, детерминистические методы представляются более приемлемыми для анализа возможности продления ресурса уникальных технических систем, поврежденных трещинами, за пределы проектного ресурса [19].
При детерминистических методах используют фиксированные данные о сопротивлении развитию трещин в материалах, нагруженности технических систем и наличии в них дефектов. В них применяются аналитические зависимости, связывающие наработку до отказа КС оборудования АЭС с характеристиками эксплуатационных нагрузок и параметрами физико-химических процессов. Однако эти подходы не учитывают случайного характера нагрузок и изменений в материалах.
Разрушение объекта – это процесс или результат необратимого изменения исходных характеристик конструкционного сплава элемента оборудования – целостность, размеров, формы, плотности дефектов кристаллического строения и их размеров, химического состава, соотношения объемов фаз с разной кристаллографической структурой и химических соединений разного состава, закончившегося выходом числовых значений измененных характеристик за пределы допускаемых интервалов, которые в соответствии с нормативно-технической документацией не позволяют продолжать безопасную дальнейшую эксплуатацию оборудования [20]. Поэтому основное внимание при количественном детерминированном анализе надежности следует уделять всем процессам повреждения, одновременно и негативно влияющим на долговечность именно конструкционного материала оборудования АЭС.
В [6, 21] обобщены методики определения остаточного ресурса ПГ АЭС, особенно на стадиях образования и роста трещин. В настоящее время эти методики требуют развития – учета всех повреждающих факторов и ЧПП, а не только влияние циклической нагрузки.
Для оценки состояния ПГ АЭС с ВВЭР 1000 широко применяются подходы линейной механики разрушений, в которых параметром разрушения, характеризующим НДС у вершины трещины упругого тела и контролирующим закономерности её роста, является КИН КI [2, 3].
Механика разрушений использует следующие основные положения (на воздухе) [3, 22]:
1. Перед вершиной развивающейся трещины формируется зона предразрушения, в которой материал деформирован за предел упругости (дислокационно-фазовая структура). Ею может быть плоское скопление дислокаций.
2. Трещина начинает распространяться в деформируемом хрупком теле в случае, если скорость освобождения энергии упругих деформаций в процессе ее распространения превосходит скорость прироста поверхностной энергии тела.
3. Выбор критерия локального разрушения на фронте трещины, изучение докритического развития трещины и отыскание критического (предельного) состояния, которое соответствует выходу конструкции на нерасчетный режим (например, разрушению).
Разработка математических моделей и методов исследования роста трещин КУ, КРПН, ВО и их сочетания является актуальной задачей механики разрушений, представляя как теоретический, так и практический интерес.
При контакте с КАС КС, подвергаемого усталостью, возникает процесс КУ. Это процесс совместного повреждающего действия на КС двух процессов: усталости и коррозии. Известно, что КУ предела выносливости не имеет в отличие от усталости на воздухе (рис. 1.3) [6]. Предел выносливости – наибольшее напряжение цикла, при котором КС не разрушается после произвольно большого числа циклов нагружения.
Сведения о конструкционном сплаве - стали марки 10ГН2МФА
Сталь марки 10ГН2МФА широко используется для производства оборудования АЭС: корпусов и коллекторов парогенераторов, компенсаторов давления, трубопроводов и другого оборудования. Она относится к классу малолегированных сталей перлитного класса. Стали данного класса, несомненно, имеют свои достоинства и недостатки. Основными достоинствами сталей перлитного класса являются: Применение перлитных сталей в атомной энергетике существенно снижает стоимость вырабатываемой электроэнергии (по сравнению с использованием для тех же целей аустенитных нержавеющих сталей);
Продукты коррозии перлитных сталей не содержат кобальта [44]. Недостаток сталей перлитного класса: их коррозионная стойкость ниже, чем стойкость аустенитных хромоникелевых сталей, поэтому необходимо применять меры по уменьшению негативного воздействия условий, в которых эксплуатируется выполненное из данного класса сталей оборудование АЭС. Важность своевременного внедрения противокоррозионных мероприятий неоспорима. На вопрос какие именно мероприятия и в какие сроки необходимо внедрять можно ответить лишь после глубокого и всестороннего анализа негативного влияния различных факторов: как состава и структуры стали, так и эксплуатационных характеристик. Состав и механические свойства стали марки 10ГН2МФА по техническим условиям приведены в табл. 2.2 и 2.3 [6].
В процессе изготовления и эксплуатации ПГ АЭС в конструкционных материалах изменяются структура и механические свойства, накапливаются микро-и макроповреждения. По данным исследований стали марки 10ГН2МФА в температурном диапазоне 250-300 вследствие процесса деформационного старения происходит существенное снижение долговечности при циклическом нагружении. Таким образом, в ХК при 280 не исключается интенсивный процесс деформационного старения, охрупчивающий наклепанный феррит, это в определенной степени объясняет феномен разрушения только ХК.
Все величины, представленные в табл. 2.3, являются характеристиками деформации металла.
Деформация - изменение размеров и формы тела под действием внешних усилий. Деформации подразделяют на упругие, пластические и остаточные. Упругая деформация – деформация, исчезающая после окончания действия приложенных сил. При упругой деформации смещения точек объекта от положений равновесия обратимы. Пластическая деформация – составляющая остаточной деформации, не вызывающая изменение объема и остающаяся после окончания действия приложенных сил. При пластической деформации перемещения точек на значительное расстояние от положений равновесия необратимы.
Остаточная деформация – деформация, остающаяся после окончания действия приложенных сил. Пластическое деформирование металла вызывает изменение ряда свойств одновременно с изменением его формы и размера. Пластичность обеспечивает конструкционную прочность деталей под нагрузкой и нейтрализует влияние концентраторов напряжений.
Простой и наиболее распространенный метод определения механических характеристик материалов [45] - испытание образцов на растяжение.
При растяжении образец удлиняется, а его поперечное сечение непрерывно уменьшается. Истинное напряжение определяется делением действующей в определенный момент нагрузки на площадь, которую образец имеет в этот момент. Истинные напряжения в повседневной практике не определяют, а пользуются условными напряжениями, считая, что поперечное сечение F0 образца остается неизменным.
На рис. 2.7 изображена качественная диаграмма растяжения в координатах: нагрузка Р – удлинение l образца, которая характеризует поведение металла при деформировании от начального момента нагружения до разрушения. - Участок упругой деформации: до нагрузки Рупр. Если образец нагрузить в пределах Рупр, затем полностью разгрузить, то никаких последствий нагружения не обнаружится. Такой характер деформирования называется упругим.
Участок равномерной пластической деформации: от нагрузки Рупр до Рmax. При нагружении образца более Рупр появляется остаточная пластическая деформация, вместе с тем идет упрочнение металла. При дальнейшем нагружении пластическая деформация увеличивается, равномерно распределяясь по всему объему образца.
Участок сосредоточенной пластической деформации: от нагрузки Рmax до Рk. При достижении максимального значения нагрузки Рmax в наиболее слабом месте появляется местное утонение образца - шейка, в которой в основном сосредотачивается пластическая деформация. Несмотря на уменьшение нагрузки, растягивающие напряжения в шейке повышаются и при нагрузке Рk происходит разрушение образца.
Отмеченные нагрузки Рупр, РТ, Рmax, Рk на диаграмме растяжения 2.7 используются для определения основных характеристик прочности: 1. Предел упругости, упр - наибольшее напряжение при различных видах деформации, при котором еще не обнаруживается остаточная деформация [46]. 2. Предел текучести (условный), 0,2 - это напряжение, которому соответствует пластическая деформация 0,2%. 3. Предел текучести (физический), т - наименьшее условное напряжение, при котором образец деформируется без заметного увеличения нагрузки [47]. 4. Временное сопротивление, max , В, характеризует максимальную несущую способность материала, его прочность, предшествующую разрушению:
Обсуждение результатов расчета
Дефекты кристаллического строения металла и их роль в формировании траектории коррозионных трещин: – механическое напряжение 1 - стадии генерации петель дислокаций; 2 - выстраивание ими плоских скоплений, 3 - образование зародыша трещины; 4 – сидячая дислокация Ломюра-Коттрелла и зародыш трещины; 5 - плоские скопления дислокаций при знакопеременных и образование вакансий при аннигиляции знакопеременных дислокаций; 6 - плоские скопления дислокаций по обе стороны границы зерен и сдвиговое формирование зернограничной трещины
Зарождение и подрастание трещины а) выстраивание плоских скоплений дислокаций; б) подрастание трещины вдоль траектории плоских скоплений дислокаций; – механическое напряжение; 1 – дислоцированный атом, у которого разрывается межузловая связь Вдоль сформированной плоскими скоплениями дислокаций траектории идет накопление разрывов межузловых связей. Связи рвутся термическими флуктуациями. Дополнительная роль растягивающих напряжений состоит в том, что после разрыва связи, ранее удерживаемые этой связью, узлы кристаллической решетки отходят друг от друга. Для восстановления этой связи потребуется термическая флуктуация противоположного знака, но намного большей величины. А она приходит реже, с меньшей вероятностью.
Еакт - энергия активации удаления атома из узла кристаллической решетки; Е0 - энергия связи атома в узле кристаллической решетки; 1 - положение равновесия при температуре абсолютного нуля (AЕt = 0); 2 - уменьшение энергии активации из-за воздействия температуры (AЕt); 3 - уменьшение энергии активации из-за воздействия растягивающих механических напряжений (ЛЕСТ); 4 - уменьшение энергии активации из-за воздействия плотности дислокаций (АЕР); 5 - уменьшение энергии активации из-за наличия гетерофазности, (ДЕа/у); 6 - уменьшение энергии активации из-за формирования электрохимического потенциала (ДЕФ); 7 66 уменьшение энергии активации из-за давления поглощенного водорода (ЕрН2); 8 – положение неустойчивого равновесия; Еост – запас амплитуды колебаний до разрыва всех связей одного атома в кристаллилической решетке, именно этот «запас» должен быть привнесен термической флуктуацией.
Известно, что повышение концентрации водорода вызывает снижение механических свойств и преждевременное разрушение КС. Водород, присутствующий в стали, локально влияет на её прочность и приводит к локальному водородному охрупчиванию. Проблема водородной хрупкости сталей и сплавов приобрело широкое значение в связи с прогрессом в атомной промышленности и ряде других областей техники. Хотя условия развития водородной хрупкости, основные закономерности влияния водорода на механические и эксплуатационные свойства КС установлены, но до сих пор еще полностью не исключены разрушения деталей и изделий, обусловленные водородом [58].
Водород очень активно проникает внутрь большинства КС. Поглощенный сталью водород может находиться в трех состояниях: 1) в ионизированном (протоны) – растворен в решетке; 2) в молекулярном – локализован и хранится в необратимых ловушках (порах, вакансиях, дислокациях и по границам зерен); 3) гидридов компонентов сплавов.
В простейшем случае взаимодействие водорода с КС можно представить как ряд этапов: диссоциация гидроксония Н3О+, присоединение электрона к протону, адсорбция атома водорода, частичное поглощение атомов водорода и их диффузия, накопление водорода преимущественно в растянутых областях КС.
В условиях эксплуатации ПГ АЭС происходит электрохимическая коррозия конструкционных материалов. Ион водорода самостоятельно в водном растворе существовать не может, он находится в виде иона гидроксония Н3О+ - третьего иона водорода, присоединенного к молекуле воды (рис. 2.18) [55]. При протекании электрохимической коррозии с водородной деполяризацией (рис. 2.19, реакции 2.5 -j-2.7) происходит диссоциация гидроксония и присоединение к протону (иону водорода) валентного электрона, оставленного атомом КС при переходе его в водный раствор в форме уже иона КС. При этом образуется адсорбированный атом водорода. Большая часть адсорбированного водорода объединяется в молекулы газа водорода и покидает реакционный объем, а меньшая - поглощается КС (абсорбция).
На рис. 2.20 приведена иллюстрация состояния водорода в металле. На основании многочисленных работ [33, 37, 59-62], можно полагать, что водород растворяется в металле в ионизированном состоянии, образует твердые растворы внедрения, скапливается в порах и других дефектах кристаллической решетки в молекулярной форме, вступает в химическое взаимодействие с различными элементами и фазами, имеющимися в сплавах, а также адсорбируется внутри металла на поверхностях микрополостей, пор, микротрещин и т.д., а также сегрегирует на несовершенствах кристаллической решетки. В зависимости от условий насыщения водородом и природы сплавов будут преобладать те или иные формы существования водорода в металлах, между которыми существует динамическое равновесие.
Водород, находящийся в стали, стремится концентрироваться в растянутых зонах с максимальной свободной энергией, особенно по границам зерен металла. Он остается в протонной форме, экранированной электронами, если электростатические силы взаимодействия достаточно велики, но может переходить в атомарное и даже молекулярное состояние при увеличении размеров дефектных мест (полостей) в металле. Именно поэтому в приграничных объемах концентрируются продукты реакции и молекулярный водород. Период времени, когда в результате локализованных химических реакций происходит накопление продуктов реакции, но еще не образуется большого числа микротрещин, пока не приводящих к заметному снижению прочностных и пластических свойств стали, является первым этапом воздействия водорода.
Изменение ресурса коллектора в зависимости от КИН
Имеется дефект в перемычке между отверстиями в коллекторах ПГ АЭС с ВВЭР-1000. Заданы значения параметров: - начальная концентрация водорода: с =0,8 млH2 при н.у. на 100 г металла; - плотность дислокаций: р± = 1014 м-2; - водородный показатель: рН = 5,5; - приложенное напряжение: а = 200 МПа; - начальный размер дефекта: / = 1 мм. За время 6960 часов дефект вырос и имеет уже критический размер, равный 6 мм (расстояние между отверстиями). Будем рассчитать критические значения КИН в двух случаях: без учета влияния КАС и с учетом влияния КАС. КИН в случае без учета влияния КАС определяется по формуле [2]: K}=0.91-o-Jid, (4.4) где а - приведенное напряжение, МПа; / - расчетная или фактическая глубина трещины, м. КИН в случае учета влияния КАС определяется по усовершенствованной выше методике (2.27).
Для коллекторов ПГ АЭС с ВВЭР-1000, выполненных из стали марки 10ГН2МФА, методика расчета КИН получена из формул (4.4) или (2.27) посредством их умножения на поправку, учитывающую кривизну поверхности. Поправочная функция/кр имеет вид: z = 171 мм – толщина стенки коллектора; l – расчетная или фактическая глубина трещины. Результаты расчета КИН для коллекторов ПГ АЭС с ВВЭР-1000 в случаях без учета влияния КАС и с учетом влияния КАС приведены в табл. 4.2.
Из диаграммы зависимости КИН от концентрации водорода (рис. 4.1) видно, что повышенная концентрация водорода в стали марки 10ГН2МФА приводит к росту КИН, описывающего НДС в вершине трещины.
Пороговый КИН в стали марки 10ГН2МФА повышается с увеличением приложенного напряжения, плотности дислокаций и давления растворенного в стали водорода (рис. 4.2, рис. 4.3 и рис. 4,4).
Плотность дислокаций р± - это характеристика технологической наследственности и ее числовое значение расчет по мере наработки -продолжительности силового воздействия. Технологическая наследственность стали марки 10ГН2МФА, образующаяся на внутренней поверхности сверленых отверстий под запрессовку теплообменных труб, ухудшается после вальцевания взрывом жесткими зарядами. Средняя плотность дислокаций по результатам исследования Юрием Степановичем Беломытцевым в городе Обнинск на темплетах, вырезанных из коллекторов ЗАЭС и ЮУ АЭС составляет: на глубине 180 мкм от поверхности – 3,31014 на м2, на глубине 500 мкм от поверхности – 2,01014 на м2. НТО натурного коллектора с запрессованными взрывом трубками приводит к снижению плотности дислокаций у поверхности до 0,91014 на м2. Из табл. 4.1 видно, что чем ниже значение водородного показателя рН, тем меньше время до начала разрушения, т.к. требуется меньше времени для формирования трещины. Результаты показывают, что пониженный уровень рН способствует более интенсивному накоплению водорода сталью. Поэтому чем меньше рН, тем больше значение порогового КИН (рис. 4.5).
На рис. 4.6 приведена зависимость порогового КИН для стали марки 10ГН2МФА от времени до начала повреждения: при уменьшении порогового КИН время до начала повреждения увеличивается. Это и является характерной особенностью коррозионного растрескивания.
Результаты расчета КИН для перемычки между отверстиями в коллекторах ПГ АЭС с ВВЭР-1000, в которой имеется дефект с заданным начальным размером показывают, что при достижении критического 45,16 МПам1/2, - по крайней мере в 3,83 раза больше случая без учета влияния КАС –11,79 МПам1/2 (табл. 4.2). Этот результат показывает необходимость учета влияния КАС при вычислении КИН. 1. Проведен расчет КИН в стали марки 10ГН2МФА, из которой изготавливают «холодные» коллекторы ПГ АЭС с ВВЭР по усовершенствованной автором методике, в которую входят дополнительно такие параметры, как: концентрация водорода, плотность дислокаций, давление размера дефектом в случае учета влияния КАС критический КИН составляет растворенного в стали водорода. 114 Конструкции ПГ АЭС подвергнуты тяжёлыми условиями работы, и учет влияния дополнительных параметров позволяет заблаговременно предвидеть преждевременное повреждение КС в реальных условиях эксплуатации ПГ АЭС. Результаты расчета показывают, что неучитываемые ранее параметры вносят большие вклады в изменение КИН, 2. Значение КИН КI увеличивается с ростом концентрации водорода: чем ниже значение водородного показателя рН, тем меньше время до начала разрушения. Показано, что значение водородного показателя рН влияет на определение КИН. 3. Автором установлено, что учет воздействия КАС вызывает увеличение критического значения КИН, при котором размеры дефектов достигают своих критических значений раньше.


















