Содержание к диссертации
Введение
1 Скорость сходимости по вероятности в случае матриц из GUE 17
1.1 Формулировка результатов 17
1.2 Оценка Т^-нормы 18
1.3 Оценка Li-нормы 26
1.4 Оценка расстояния Колмогорова 26
2 О точности приближения спектра GOE 36
2.1 Формулировка результатов 36
2.2 Доказательство теоремы 2.1 36
3 Скорость сходимости спектральной функции DGUE 45
3.1 Формулировка результатов 45
3.2 Метод наискорейшего спуска 46
3.3 Оценка n\An(w) — An(z)\ 55
3.4 Оценки хвостов 60
3.5 Критические точки fn{z) 62
3.6 Главный член 64
3.7 Доказательство теоремы 3.2 73
А Приложения
Введение к работе
Пусть (fi, Т, Р) — произвольное вероятностное пространство, (Мтхп, || ||#s) — пространство вещественных или комплексных матриц размерности га х п с нормой Гильберта-Шмидта: ||А||я5 = \/Тг(АА*), VA е Mmxn.
Здесь А* = Ат обозначает транспонированную комплексно сопряженную матрицу A, a Tr А — след матрицы А.
Определение 1. Случайной матрицей А называется измеримое отображение А = А (о;), отображающее пространство элементарных событий Q в пространство матриц Мтхп.
Обозначим через *B(Mmxn) сг-алгебру борелевских подмножеств множества матриц Мгпхп. Очевидно, что любая случайная матрица А естественным образом порождает на измеримом пространстве (Mmxn, *B(Mmxn)) некоторую вероятностную меру Рд-
Необходимость изучения свойств случайных матриц впервые возникла в конце 1920-х годов в работах Вишерта, в связи с задачами многомерной статистики. Толчком к последующему бурному развитию данной тематики послужили работы Вигнера [44, 45, 46] 1950-х годов в области ядерной физики. Из квантовой механики известно, что уровни энергии квантовой системы, находящейся в стационарном состоянии, описываются с помощью собственных чисел некоторого эрмитового оператора, называемого гамильтонианом. Спектр такого оператора в общем случае состоит из непрерывной части и некоторого, возможно большого, числа дискретных уровней, а сам оператор действует в некотором бесконечномерном гильбертовом пространстве. Как правило, практический интерес представляет дискретная часть спектра, поэтому, чтобы избежать сложностей, вызванных бесконечномерностью исходного гильбертова пространства, его аппроксимируют конечным гильбертовым пространством, а гамильтониан представляется в виде некоторой эрмитовой матрицы. Ввиду сложности системы, найти точное представление этой матрицы, в большинстве случаев, не представляется возможным. Вигнер был первым, кто заметил, что уровни энергии ядра статистически ведут себя подобно собственным числам некоторой случайной матрицы большого порядка (см. [44]) и предложил использовать такую матрицу для аппроксимации усеченного гамильтониана.
Определение 2. Вигнеровской случайной матрицей размерности п х п называется эрмитова матрица W = (w/j)",-=i, элементы wij, 1 ^ / ^ j ^ п которой являются независимыми случайными величинами, причем:
1. wij, 1 ^ / < j ^ п — независимые одинаково распределенные комплекс ные случайные величины, с независимыми вещественными и мнимыми частями, распределение которых не зависит от п, такие что Ewtj = 0, Е К|2 = сг2,
2. wu, 1 ^ / ^ п — независимые одинаково распределенные вещественные случайные величины, с не зависящим от п распределением, такие что
Ег% = 0, Егпц2 = а2.
Пусть W - вигнеровская случайная матрица. Одним из важных объектов изучения при исследовании спектральных свойств вигнеровских матриц является эмпирическая спектральная функция распределения матрицы.
Определение 3. Пусть Лі ^ Лг ^ ^ Хп ~ упорядоченные по возрастанию собственные значения нормированной матрицы -^W. Эмпирической спектральной функцией распределения матрицы -t^W называется функция
1 п где 1{я} обозначает индикатор события В.
В своей работе [46] 1958 г. Вигнер рассмотрел вещественную симметричную матрицу W = (w/j)Ij=i> элементы юц, 1 ^ I ^ j ^ п которой суть независимые одинаково распределенные случайные величины со средним Ewij = 0 и дисперсией Eif/j2 = а2. Он показал, при условии ограниченности всех четных моментов элементов wij и равенстве нулю всех нечетных моментов элементов wij, что ожидаемая эмпирическая спектральная функция распределения EFn(x) нормированной матрицы 4=W сходится, в супре-мальной метрике, к некоторой функции распределения G(x), с плотностью l(x) = G'(x) = 7^^у/^2-х2І{{х^2а].
2тта2
Факт такой сходимости называют обычно сходимостью к полукруговому закону, а функцию распределения G(x) и плотность д(х) — функцией распределения и плотностью полукругового закона соответственно. При доказательстве этого факта, Вигнер использовал метод моментов. Для удобства читателей мы приведем схему подобного доказательства в самом простейшем случае — случае, когда элементы матрицы W имеют вид w\j — <ту, 1 ^ / ^ j ^ п, где ц — радемахеровские случайные величины, то есть величины, принимающие с вероятностью 1/2 либо значение 1, либо значение -1 (именно такой случай рассмотрел Вигнер в работе [45] 1955 г.).
Пусть Mfc обозначает к-ый момент ожидаемой эмпирической спектральной функции распределения EFn(a;), а т& — fc-ый момент функции распределения полукругового закона G(x). Тогда = /^„W = W, (2к)\а jfc!(fc + l)! \п2к = Ска, т2к = J xikg(x)dx = І^'Л? (* + \, |%
2fc+l = О, где Ск, к ^ 0, обозначают числа Каталана, определяемые рекуррентным соотношением Gq = 1, Ck — У ^CjCk-i-j.
Так как носитель плотности д(х) предельной функции распределения G{x) компактен, то для сходимости ожидаемой эмпирической спектральной функции распределения EFn(x) к функции распределения G{x) достаточно, чтобы все моменты Мк сходились, при п -> оо, к соответствующим моментам тк.
Мы покажем сначала, что не умаляя общности можно считать все диагональные элементы wn, 1 ^ / ^ п, матрицы W равными нулю. Действительно, пусть матрица W получена из матрицы W замещением всех диагональных элементов нулями. Обозначим через Лі ^ Аг ^ ^ Хп собственные значения нормированной матрицы -j^W, а через Fn(x) — ее спектральную функцию распределения. Несложно проверить, что 1 п 1 п Fn(x) - Fn(x) dx = - V \Хк - Хк ^ —= У]
Здесь, в последнем неравенстве, мы воспользовались тем, что п п / \ для любой непрерывной выпуклой функции <р(х) (см. [1, стр. 552]). Далее, заметим, что функция распределения полукругового закона G(x) удовлетворяет условию Липшица с константой —. Поэтому, применяя леммы А.1.1-А.1.2, получим in/ ч ^, ч, . 1 + 7Г(Т _1 1 + 7ГСГ ~ . . . . sup \Fn(x) - G(x)\ ^ j=-n * + sup Fn(x) - G(x) x 1Гу/СГ TW x
Таким образом, мы можем полагать, что wkk — 0, при 1 ^ k ^ п. Рассмотрим теперь подробнее к-ът момент Мк ожидаемой эмпирической спектральной функции распределения. Нетрудно убедиться, что "Е Tr W" = ^фГі Е Е whiS»bh whh
ЗіГ-Jk
Заметим, что слагаемые в последней сумме отличны от нуля только для тех наборов индексов (ji,... ,^), для которых каждая случайная величина произведения Whj2Wj2j3 Wjkj1 входит в это произведение ровно четное число раз. Поэтому М^ — 0, при к = 2s + 1. Для четного к = 2s разобьем множество наборов (ji,.-.,J2s), Для которых математическое ожидание произведения отлично от нуля, на два класса. В первый войдут все те наборы С?'ъ > hs)i которые содержат не более s различных индексов. Очевидно, что число таких наборов не превосходит ns. Поэтому суммирование по этому классу, с учетом нормировочного множителя, вносит вклад порядка 0(п~1). Во второй класс войдут наборы, которые содержат ровно s + 1 различных индексов, и которым соответствуют ровно s различных случайных величин в произведении Wjxj2Wj2j3 Wj2sjl. Таким образом, каждая случайная величина входит в произведение ровно два раза. Определим характеристическую последовательность щ, u1j2, Wj2j3,..., Wjl_ljl не содержит случайной величины Wjtjl+l, и щ = — 1 — в противном случае. Очевидно, что последовательность ui,U2,...,U2s удовлетворяет условию YH=iui ^ 0, Для всех j = 1,..., 2s. Поэтому каждой такой последовательности соответствует путь в верхней полуплоскости длины 2s, исходящий из нуля и возвращающийся в нуль. Число таких путей равно ,[ i^i- Учитывая, что s + 1 различных индексов мы можем выбрать п(п - 1) (п — s) = ns+1(l + 0(п~1)) способами, получим, что суммирование по элементам второго класса, с учетом нормировочного множителя, даст величину ^щ + 0{п~1). Тем самым, сходимость моментов, а значит и сходимость ожидаемой эмпирической спектральной функции распределения, доказана.
Результат Вигнера был обобщен Арнольдом в работе [12] 1967 г. Так же, с помощью метода моментов, он показал, что при условии ограниченности четвертого момента элементов юц следует сходимость эмпирической спектральной функции распределения Fn(x) к функции распределения G(x) по вероятности, а при условии ограниченности шестого момента — сходимость почти наверное.
В конце 60-х Марченко и Пастур [6] разработали более мощный метод исследования распределения спектра случайной матрицы, основанный на анализе элементов резольвентной матрицы ("7=W — zln)~l. Это позволило им распространить полукруговой закон Вигнера на случай эрмитовых матриц, элементы которых имеют равную дисперсию, но не обязательно одинаковое распределение (см. [7, 8]). Они показали, что для сходимости по вероятности эмпирической спектральной функции распределения Fn(x) такой матрицы к функции распределения полукругового закона G(x) достаточно выполнения условия Линдеберга для всех строк матрицы. Несколько позднее, Гирко [3] показал также и сходимость почти наверное, при условии, что для любого т > О выполнено
Д^ Е eKI2i{kiw^} = -
Основная идея метода состоит в переходе от функций распределения к их преобразованиям Стилтьеса. Пусть F(x) есть некоторая функция распределения. Рассмотрим ее преобразование Стилтьеса
Ф) = / —dF(x), J х- z где z = u-\-iv — комплексная переменная с v > 0. Очевидно, что lms(z) > 0. Можно также показать, что для любых двух точек непрерывности х\ < х^ функции F{x) имеет место формула обращения F{x2) — F{x\) = lim— / lms(z)di i40 7Г J [ms(z)au.
Таким образом, между функциями распределения и их преобразованиями Стилтьеса существует взаимно однозначное соответствие. Более того, из равномерной сходимости преобразований Стилтьеса на некотором компакте в C\R следует слабая сходимость функций распределения.
Здесь и далее z = u-\-iv — комплексная переменная с v > 0. Символом у/ги мы будем обозначать квадратный корень комплексного числа w, имеющий положительную мнимую часть, то есть y/w — yjre^l2, где w = гег<р, 0 ^ if < 2тг.
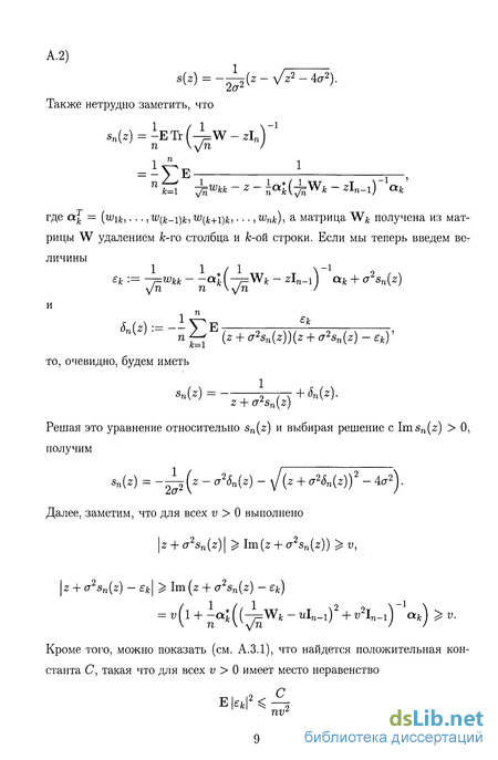
Обозначим через sn[z) и s[z) преобразования Стилтьеса ожидаемой эмпирической спектральной функции распределения F, Fn(x) и функции распределения полукругового закона G(x), соответственно. Тогда (см. приложение
Ф) = -7^(z - Vz2-4a2). Также нетрудно заметить, что sn(z) = -ETr(^=W-zInYl n*-*i 1 п ІҐі ^кк -*-\<*1 (jz Wfc - гІ„_і) ~ V где a = (гой,..., W(k-i)k, гУ(Л+1)А,..., wn&), а матрица Wjt получена из матрицы W удалением fc-ro столбца и fc-ой строки. Если мы теперь введем величины єк := ^^^fcA: aj (-r=wfc - гІп-і) ctk + cr2sri(2;) ПХ~\ (z + (T2Sn(z))(z + (72Sn(z)-5k)' то, очевидно, будем иметь z + azsn{z)
Решая это уравнение относительно sn(z) и выбирая решение с lm sn(z) > О, получим sn(z) = ~^(z -
Кроме того, можно показать (см. А.3.1), что найдется положительная константа С, такая что для всех v > О имеет место неравенство ш;2 Eefc <
Объединив последние три неравенства и определение величины 5n(z), получим, что для всех v > О выполнено неравенство іеді ^ -^.
Это очевидным образом влечет равномерную сходимость sn(z) -> s(z) на любом компакте, содержащемся в верхней полуплоскости C\R, а значит, как уже отмечалось выше, и слабую сходимость соответствующих функций распределения.
Гауссовские ансамбли
В этом разделе мы более подробно остановимся на двух частных случаях матриц Вигнера — гауссовском унитарном и гауссовском ортогональном ансамблях случайных матриц. Первый является наиболее простым, с математической точки зрения. Второй же более важен для физических приложений.
Определение 4. Говорят, что вигнеровская случайная матрица W = (w/j)"-= принадлежит гауссовскому унитарному ансамблю (GUE), если мнимые и вещественные части {Re wij}i^.j, {Im wij]iа + ад/4.
Пусть %п обозначает пространство эрмитовых матриц порядка п с мерой Лебега dW = 1 [ dRewij dlmwij 1 [ dwu.Kj 1=1
Тогда гауссовский унитарный ансамбль однозначно задается распределением вероятностей
I*UE{dW) = Cne-TvW2dW на пространстве %п. Отсюда легко увидеть, что распределение Р^иЕ инвариантно относительно унитарного преобразования. Это позволяет найти точное аналитическое представление для плотности pn(x\,... ,хп) индуцированного совместного распределения собственных чисел Ai,...,An матрицы W (см. [39]): pn(xi, ...,хп) = Спе '=1 ' Д(Xj - Xlf.
Рассмотрим определитель Вандермонда /1 ... 1 N
Л(х) := \\{xj — xi) = det \ xl xn I
Умножая j-ю строку на 2J l и добавляя к ней соответствующую линейную комбинацию предыдущих строк, мы получим в j-й строке Hj-i(x{), Hj-i(x2),..., Hj-i(xn), где Hj(x) обозначает полином Эрмита степени j, то есть ад=^ (")
Домножая теперь j-ю строку на множитель \2? l(j — 1)!>/7г] 1/2, а 1-й столбец на е Ж(//2, получим е '=1 /\(x) = Cndet(ipj_i(xi)) \ / j,i=i
Здесь {<^(ж)} — ортогональная система функций Эрмита, связанная с полиномами {Hj(x)} соотношением
Таким образом, плотность собственных чисел pn\X\i ---1 xnj представляется в виде определителя некоторого ядра: рп(яі,...,я„) = C„det [Kn(xj,xi)) ,
Ядро Кп(х,у) принято называть ядром Кристоффеля-Дарбу. Можно легко убедиться, что / Kn(x,x)dx = n, / Kn(x,y)Kn(y,z)dy = Kn(x,z). -00 —00
Поэтому (см. [39, 19]) / det (Kn(xj,xi)) dxm = (n-m + l)det[Kn(xj,xi))
Отсюда несложно найти нормирующий множитель плотности рп:
1 / \п рп(хъ ..., хп) = — det \Kn(xj, xi)J _ .
Более того, мы можем легко вычислить плотность рп (х\,..., Xk) к неупорядоченных собственных чисел: р^\хь ...,хк)= j'det (Kn(Xj,xi))
77,! V / 7,/=1 "det (Kn(xj, xi) t
В частности, для плотности (EFn(x))' ожидаемой эмпирической спектральной функции матрицы W из GUE имеем: (ЕВД)' = №(х) = -Кп(х,х) = і $>?(*).
Несколько сложнее представляется плотность ожидаемой эмпирической спектральной функции матрицы из гауссовского ортогонального ансамбля.
Определение 5. Говорят, что вещественная вигнеровская случайная матрица W = {щіУіі-\ принадлежит гауссовскому ортогональному ансамблю (GOE), если ее элементы юц являются независимыми гауссовскими случайными величинами со средним 0 и дисперсией (1 + 5ц)/2.
Очевидно, что гауссовский ортогональный ансамбль определяется распределением вероятностей P0E(dW) = Cne~^w2dW 12 на множестве симметричных матриц порядка п с мерой Лебега dW. Плотность pn(xi,..., хп) совместного распределения собственных чисел Ai,..., \п матрицы W в этом случае принимает вид --Yx2 рп(хі,...,хп) = Спе 2i=i ' J||zj-Zj|.
Эта плотность, как и плотность совместного распределения собственных чисел матрицы из GUE, может быть выражена в терминах функций Эрмита (см. [39]). В частности, плотность (EFn(x))' ожидаемой эмпирической спектральной функции матрицы из GOE имеет вид
1 1 f 1 (EFn(x))'=~y]ipi(x) + —-=(pn-i(x) / sgn(x-t)ipn(t)dt+-ап(х),n TZ ly In J n
00 \ 1 Понятно, что для нормированных матриц из гауссовских унитарного и ортогонального ансамблей имеет место полукруговой закон Вигнера, причем, ввиду выполнения условия Линдеберга, эмпирическая спектральная функция распределения таких матриц сходится к распределению гюлукругового закона почти наверное. Как и для всех предельных теорем, естественно возникает вопрос о скорости сходимости. Данной проблеме посвящены работы таких авторов, как Бай (см. [14]-[17]), Гётце и Тихомиров (см. [26]-[28]), Гирко (см. [2, 24, 25]). Рассмотрим величины Д„ := sup |ЕВД - ОДІ, А; := Е sup \Fn(x) - G(x)\. В общем случае, когда матрица W вигнеровская, Бай показал (см. [16]), что при выполнении условия supls^J<00E \wij\A < со, скорость сходимости ожидаемой эмпирической спектральной функции распределения нормированной матрицы имеет порядок Дп = 0(п~1^). При еще более сильном ограничении suPis^j Важную роль в исследовании скорости сходимости ожидаемой эмпирической спектральной функции распределения занимают гауссовские унитарный и ортогональный ансамбли. Сходимость ожидаемой эмпирической спектральной функции матриц из GUE изучалась в работе [28], где была получена оптимальная оценка An = 0(п~1). Нам удалось получить аналогичную оценку и для случая матриц из GOE (см. [11]). Несколько более сложной является задача оценивания сходимости эмпирической спектральной функции распределения по вероятности. Бай в 2002 г. доказал (см. [17]), что при моментном ограничении sup1:^.^<00 Е \wij\s < оо имеет место оценка А* = 0{п~21ъ). Для вигнеровских матриц, элементы которых имеют равномерно ограниченные восьмые моменты, Гётце и Тихомиров (2003 г., [27]) показали оценку А* = 0{п~112). Мы рассмотрели матрицу из GUE и показали, для этого частного случая, что А* = 0(Ц%) (см. [10]). Деформированный гауссовский унитарный ансамбль В этой части введения мы рассмотрим деформированный гауссовский унитарный ансамбль. Это ансамбль вигнеровских матриц, содержащий в себе гауссовскую компоненту. Таким образом, он занимает, в некотором смысле, промежуточное положение между гауссовским унитарным ансамблем и более общим ансамблем вигнеровских матриц. В отличие от гауссовского унитарного ансамбля, этот ансамбль не обладает инвариантностью относительно унитарных преобразований, но, тем не менее, для него удается найти совместную плотность распределения собственных чисел. Деформированные ансамбли изучались в работах Пастура и Хорунжия начала 90-х (см., например, [36]), также, несколько позднее, в работах Врезана и Хиками (см. [18]). Пастур и Хорунжий рассмотрели деформированный вигнеровский ансамбль вида Но + 4= W, где Но обозначает некоторую фик- сированную (неслучайную) эрмитовую матрицу, a W — матрицу Вигнера. Они показали, что если для элементов матрицы Вигнера выполнено обобщенное условие Линдеберга, и эмпирическая спектральная функция матрицы Но имеет предел, то эмпирическая спектральная функция распределения деформированного вигнеровского ансамбля сходится по вероятности к некоторой неслучайной неубывающей функции. Врезан и Хиками рассмотрели более частный случай, когда случайная матрица W в деформированном ансамбле является матрицей из GUE. Ими была найдена совместная плотность распределения двух собственных чисел матрицы из такого ансамбля. Деформированный гауссовский унитарный ансамбль впервые был рассмотрен в работе Йоханссона [35] 2001 г. В отличие от ансамблей, рассмотренных в предыдущих работах, этот ансамбль является линейной комбинацией двух случайных матриц. Определение 6. Говорят, что эрмитовая случайная матрица М = (wty/)I\'=i порядка п принадлежит деформированному гауссовскому унитарному ансамблю (DGUE), если М = W + аН, а > 0, где W = (ги^)",-=1 обозначает вигнеровскую случайную матрицу, а Н = (hij)?j=i ~ независимую от нее матрицу из GUE, причем Е \wij\ = |, 1 ^ / ^ j ^ п, и Е \hij\ = 1, 1 ^ / < j ^ п. Обозначим Pn(dW) распределение вигнеровской матрицы матрицы W на пространстве эрмитовых матриц %п с мерой Лебега dW. Тогда, очевидно, распределение вероятностей деформированного гауссовского унитарного ансамбля имеет вид Qn(dM) =2-"/2(тга2)-п2/2( /e-^M-w)Vn(W)W Пусть pn (жі,..., Xk) — совместная плотность распределения к собственных чисел нормированной матрицы -4jM, &yi,...,yn — собственные числа нормированной вигнеровской матрицы матрицы -VW. Йоханссон (см. [35]) показал, что если sup^j^j^jE \wij\ < оо, для всех к ^ 1, то p?)(xi,...,x*) = y'pW(a:i,...>xJb;y(W))dPn(v^W), Р{п]Ы,...,хк;у) = [П '' tet(Kn{xj,xi\y)\ _ , lit V / J^l — 1 а ядро Kn(u,v;y) определяется соотношением п(у — и )т. . ч ПЄ 2а2 Г (І2 [ dlV ( nz(v-u) \ К"{и'v'у) = *И / ай /г 2й(1 -е J 2 п 1 / А" г—\ 11 і \ n(w'-2vw-z*+2uz) X-lw + z-v > - ^7 Г е ^3 Л «jri(w-yj)(z-yj)J Здесь контур 7 является объединением прямых t —> -t+itu, t Є Ж и і -> t—га;, і Є Ж, для некоторого фиксированного w > 0, а контур Г есть прямая t Ч it, t Є Ж. Для удобства читателя, доказательство этого представления приведено в приложении А.4. Результат Иоханссона, при к = 1, позволяет найти интегральное представление для плотности ожидаемой эмпирической спектральной функции распределения нормированной матрицы -дМ. Используя это представление, нам удалось показать, что скорость сходимости ожидаемой эмпирической спектральной функции распределения матрицы из DGUE к распределению полукругового закона имеет порядок 0(п~з+и^ где и — произвольно малое положительное число (см. [31, 9]). Таким образом, наличие гауссовской компоненты позволяет улучшить общий результат, полученный для матриц Виг-пера. Работа устроена следующим образом. В главе 1 мы исследуем скорость сходимости по вероятности эмпирической спектральной функции распределения матрицы из гауссовского унитарного ансамбля. Далее, в главе 2, мы изучаем скорость сходимости ожидаемой эмпирической спектральной функции распределения матрицы из гауссовского ортогонального ансамбля. Мы показали, что она имеет оптимальный порядок 0{п~1). В последней главе 3 мы доказываем некоторые оценки для близости ожидаемой эмпирической спектральной функции распределения матрицы из деформированного гауссовского унитарного ансамбля к распределению полукругового закона. Наконец, завершают работу несколько приложений, в которые мы вынесли доказательства ряда вспомогательных утверждений. „2 ., .2, Важную роль в исследовании скорости сходимости ожидаемой эмпирической спектральной функции распределения занимают гауссовские унитарный и ортогональный ансамбли. Сходимость ожидаемой эмпирической спектральной функции матриц из GUE изучалась в работе [28], где была получена оптимальная оценка An = 0(п 1). Нам удалось получить аналогичную оценку и для случая матриц из GOE (см. [11]). Несколько более сложной является задача оценивания сходимости эмпирической спектральной функции распределения по вероятности. Бай в 2002 г. доказал (см. [17]), что при моментном ограничении sup1: . 00 Е \wij\s оо имеет место оценка А = 0{п 21ъ). Для вигнеровских матриц, элементы которых имеют равномерно ограниченные восьмые моменты, Гётце и Тихомиров (2003 г., [27]) показали оценку А = 0{п 112). Мы рассмотрели матрицу из GUE и показали, для этого частного случая, что А = 0(Ц%) (см. [10]). Деформированный гауссовский унитарный ансамбль В этой части введения мы рассмотрим деформированный гауссовский унитарный ансамбль. Это ансамбль вигнеровских матриц, содержащий в себе гауссовскую компоненту. Таким образом, он занимает, в некотором смысле, промежуточное положение между гауссовским унитарным ансамблем и более общим ансамблем вигнеровских матриц. В отличие от гауссовского унитарного ансамбля, этот ансамбль не обладает инвариантностью относительно унитарных преобразований, но, тем не менее, для него удается найти совместную плотность распределения собственных чисел. Деформированные ансамбли изучались в работах Пастура и Хорунжия начала 90-х (см., например, [36]), также, несколько позднее, в работах Врезана и Хиками (см. [18]). Пастур и Хорунжий рассмотрели деформированный вигнеровский ансамбль вида Но + 4= W, где Но обозначает некоторую фик сированную (неслучайную) эрмитовую матрицу, a W — матрицу Вигнера. Они показали, что если для элементов матрицы Вигнера выполнено обобщенное условие Линдеберга, и эмпирическая спектральная функция матрицы Но имеет предел, то эмпирическая спектральная функция распределения деформированного вигнеровского ансамбля сходится по вероятности к некоторой неслучайной неубывающей функции. Врезан и Хиками рассмотрели более частный случай, когда случайная матрица W в деформированном ансамбле является матрицей из GUE. Ими была найдена совместная плотность распределения двух собственных чисел матрицы из такого ансамбля. Деформированный гауссовский унитарный ансамбль впервые был рассмотрен в работе Йоханссона [35] 2001 г. В отличие от ансамблей, рассмотренных в предыдущих работах, этот ансамбль является линейной комбинацией двух случайных матриц. Определение 6. Говорят, что эрмитовая случайная матрица М = (wty/)I\ =i порядка п принадлежит деформированному гауссовскому унитарному ансамблю (DGUE), если М = W + аН, а 0, где W = (ги )",-=1 обозначает вигнеровскую случайную матрицу, а Н = (hij)?j=i независимую от нее матрицу из GUE, причем Е \wij\ = , 1 / j п, и Е \hij\ = 1, 1 / j п. Обозначим Pn(dW) распределение вигнеровской матрицы матрицы W на пространстве эрмитовых матриц %п с мерой Лебега dW. Тогда, очевидно, распределение вероятностей деформированного гауссовского унитарного ансамбля имеет вид Qn(dM) =2-"/2(тга2)-п2/2( /e- M-w)Vn(W)W Tin Пусть pn (жі,..., Xk) — совместная плотность распределения к собственных чисел нормированной матрицы -4jM, &yi,...,yn — собственные числа нормированной вигнеровской матрицы матрицы -VW. Йоханссон (см. [35]) показал, что если sup j j jE \wij\ оо, для всех к 1, то p?)(xi,...,x ) = y pW(a:i,... xJb;y(W))dPn(v W), Tin где Здесь контур 7 является объединением прямых t — +itu, t Є Ж и і - t—га;, і Є Ж, для некоторого фиксированного w 0, а контур Г есть прямая t Ч it, t Є Ж. Для удобства читателя, доказательство этого представления приведено в приложении А.4. Результат Иоханссона, при к = 1, позволяет найти интегральное представление для плотности ожидаемой эмпирической спектральной функции распределения нормированной матрицы -дМ. Используя это представление, нам удалось показать, что скорость сходимости ожидаемой эмпирической спектральной функции распределения матрицы из DGUE к распределению полукругового закона имеет порядок 0(п з+и где и — произвольно малое положительное число (см. [31, 9]). Таким образом, наличие гауссовской компоненты позволяет улучшить общий результат, полученный для матриц Виг-пера. Работа устроена следующим образом. В главе 1 мы исследуем скорость сходимости по вероятности эмпирической спектральной функции распределения матрицы из гауссовского унитарного ансамбля. Далее, в главе 2, мы изучаем скорость сходимости ожидаемой эмпирической спектральной функции распределения матрицы из гауссовского ортогонального ансамбля. Мы показали, что она имеет оптимальный порядок 0{п 1). В последней главе 3 мы доказываем некоторые оценки для близости ожидаемой эмпирической спектральной функции распределения матрицы из деформированного гауссовского унитарного ансамбля к распределению полукругового закона. Наконец, завершают работу несколько приложений, в которые мы вынесли доказательства ряда вспомогательных утверждений. Рассмотрим эрмитову случайную матрицу W = (wy)j\-=i из гауссовского унитарного ансамбля. Для удобства будем считать, что Егиц = 0 и Е \wij\2 = . Обозначим Лі,..., Ал собственные числа матрицы 4=W, a Fn(x) = #0 : Л - х] эмпирическую спектральную функцию распределения нормированной матрицы T W. Пусть G(x) — функция распределения полукругового закона с плотностью о д(х) = G {x) = -VI - х2Цх\ 1}. 7Г Нас будет интересовать скорость сходимости эмпирической спектральной функции распределения Fn(x) к функции распределения G(x) в метрике Колмогорова, а также в метриках пространств L\ и L то есть величины д;:=8ирад-еді, X / poo \ 1/р Lp(Fn,G):=U \Fn(x) - G(x)\p dxj , p=l,2. В этом приложении мы, следуя статье Иоханссона [35J, получим интегральное представление плотности собственных чисел матрицы из деформированного гауссовского унитарного ансамбля. Рассмотрим эрмитовую случайную матрицу М порядка п из нормированного деформированного гауссовского унитарного ансамбля. Пусть М = - (W + аН), а 0, где W = (гиу)",-=1 обозначает вигнеровскую случайную матрицу, а Н = (Ы ,=1 — независимую от нее матрицу из GUE, причем Е \щ\2 = ,ЦКІ п,иЕ Лу2 = 1, 1 / j п. Обозначим Pn(dW) распределение вигнеровской матрицы 4jW. Тогда распределение вероятностей матрицы М имеет вид dQn(M) = 2-»/2 (- )"V2 fe- M- w» dPn(W)]dM. Пусть рп(х\,..., хп) — совместная плотность распределения собственных чисел матрицы М, а т/1,..., уп — собственные числа нормированной вигнеровской матрицы матрицы - W. Имеет место следующая лемма. Лемма А.4.1. Индуцированное распределением Qn совместное распределение собственных чисел матрицы М имеет плотность Pn\E\i - - - і -En) І Рп (xh...,xn]y(W))dPn(W), где ( П W2 ДП(Х) , / п /_. „Ч2\п а Ап{х) = Пі - i n(xi хі) определитель Вандермюнда. Доказательство. Рассмотрим непрерывную симметричную функцию F(x), определенную на R". Пользуясь теоремой Фубини, мы получим f F{x(M))dQn(M) = d f ( f F{x{M))e- Tl{M- w)2dM)dPn(W), itfi fin rtn (A.4.1) где C\ — 2 пІ1{п/т:а2)п /2. Пусть U Є Un — некоторая унитарная матрица. Выполним в правой части (А.4.1) замену переменного М = U_1RU и проинтегрируем полученное равенство по всему пространству унитарных матриц Ып. Применив еще раз теорему Фубини мы будем иметь d f (f F(x(R))(je- v-,Rv w),dv)dRyPn(W). rtn tin LAn Для вычисления внутреннего интеграла по пространству унитарных матриц мы воспользуемся формулой Ициксона-Зюбера (см. [34] и [39, приложение 5]). Получим Tin Tin где Сг = ( Vn) ГП=і.Я- Подынтегральная функция внутреннего интеграла зависит от эрмитовой матрицы R только через ее собственные числа жі,... ,хп. Поэтому, выполнив интегрирование по оставшимся степеням свободы, мы будем иметь J F(x(M))dQn(M) = С J JF(x) -det (e- dx P W), Tin Tin R-n где С = (п/27га2)"/2. Утверждение доказано. Для нахождения ядра плотности рп(х\,..., хп\ у) мы рассмотрим следующее ее представление в виде предела плотностей, имеющих детерминантную структуру. Доказательство. В силу лемм (А.4.2)-(А.4.3) и теоремы Лебега о мажорируемой сходимости, для доказательства утверждения леммы нам достаточно показать, что при ps(u,v) = (2-irs) l/2exp(-(u-v)2/2s), и z\ = I— 1, последовательность Kn(u,v) сходится к ядру Kn(u,v;y), в пределе Т — со. Чтобы показать это, заметим, что .2.2 йеІА=Шт7ШЇЇ-Є т П (« -eft). (А.4.4) Для произвольного вещественного числа М обозначим Гд/ контур s - s+iM, s Є R. Тогда Рт(У, Zj) = Є 2ІТ+ЇЇ 2Т_ / е а+гЛг+ тУг(т+0 Г. V 27ГГ V 27Г У м Поэтому 1 1 / п 2 \ / 2 2(Т+П detA,M = =т—— 4W 1W0( ТТв та ) ( ТТ " l[) 2 y/T(2n(T + t)y»-W\j± ДІЇ v2 f т2 х е %т / e_J2"det A;(v)dr, где матрица Ai(v) получена из матрицы (exp (ffr )), _, путем замены I-го столбца вектором ( ехр ( Д + iT\Jтіт+t)))) Легко заметить, что определитель матрицы А/(и) является определителем Вандермонда. Отсюда имеем detAdv)=\ —%--.—— г-ттІПе )(Пе"Л] (А.4.5) X Є 2Т___ / е 2 er+t _ ет+і jrfr, 1 м где г// в последнем произведении следует заменить на (T+t) \f + T\/fTf t)) Возьмем отношение равенства (А.4.4) к (А.4.5) и перейдем к пределу по Т — со. Получим: r cx, det A V27T У xi V Уі Уз ) Гм 3 1 Пусть L некоторое вещественное число. Выберем М так, чтобы v — уДМ = L. Выполним замену переменной w = v + іуДт. Тогда последнее равенство можно переписать в следующем виде: w-vr тт W — ]Jj П lim detAj(u) 1 e 2t т оо detA iy/2irtj SiVi-Vj dw, где TL : s — L + is, s Є R. Отсюда следует, что 1 і 2 Г 2 2тггі /=і ;# 1/j w — У/ - Уз dw. Пусть 7 обозначает контур, содержащий внутри себя точки Выберем число L настолько большим, чтобы контуры 7 и Г/, не пересекались. Пользуясь теоремой о вычетах, получим, что w-2/j Є 2t т-г w — /j (w-«r ПШ — О, , v- v W-"J -г-т Ш — Уг - 2/j і=і j# 27Г2 / U — z AJ- Z — V; % 3=1 J для всех w Є ГІ. Таким образом, 1 n 2 2 w —2vw — z +2uz 2( г -% Є 2і dz dwe (А.4.6) n(w,v;y) = гу — г (2тгг)2і і-1 Z У Выполним в интегралах замены переменных z — bz и ги —У bw, где 6 Є R некоторое близкое к единице вещественное число. В результате этой замены изменятся контуры 7 и Г , но, так как b близко к 1, то мы, в соответствии с теоремой Коши, можем деформировать их к первоначальному виду. Продифференцировав равенство (А.4.6) и положив 6=1, прийдем к следующему соотношению: Пусть (fi, Т, Р) — произвольное вероятностное пространство, (Мтхп, #s) — пространство вещественных или комплексных матриц размерности га х п с нормой Гильберта-Шмидта: Ая5 = \/Тг(АА ), VA е Mmxn. Здесь А = Ат обозначает транспонированную комплексно сопряженную матрицу A, a Tr А — след матрицы А. Определение 1. Случайной матрицей А называется измеримое отображение А = А (о;), отображающее пространство элементарных событий Q в пространство матриц Мтхп. Обозначим через B(Mmxn) сг-алгебру борелевских подмножеств множества матриц Мгпхп. Очевидно, что любая случайная матрица А естественным образом порождает на измеримом пространстве (Mmxn, B(Mmxn)) некоторую вероятностную меру Рд Необходимость изучения свойств случайных матриц впервые возникла в конце 1920-х годов в работах Вишерта, в связи с задачами многомерной статистики. Толчком к последующему бурному развитию данной тематики послужили работы Вигнера [44, 45, 46] 1950-х годов в области ядерной физики. Из квантовой механики известно, что уровни энергии квантовой системы, находящейся в стационарном состоянии, описываются с помощью собственных чисел некоторого эрмитового оператора, называемого гамильтонианом. Спектр такого оператора в общем случае состоит из непрерывной части и некоторого, возможно большого, числа дискретных уровней, а сам оператор действует в некотором бесконечномерном гильбертовом пространстве. Как правило, практический интерес представляет дискретная часть спектра, поэтому, чтобы избежать сложностей, вызванных бесконечномерностью исходного гильбертова пространства, его аппроксимируют конечным гильбертовым пространством, а гамильтониан представляется в виде некоторой эрмитовой матрицы. Ввиду сложности системы, найти точное представление этой матрицы, в большинстве случаев, не представляется возможным. Вигнер был первым, кто заметил, что уровни энергии ядра статистически ведут себя подобно собственным числам некоторой случайной матрицы большого порядка (см. [44]) и предложил использовать такую матрицу для аппроксимации усеченного гамильтониана. Определение 2. Вигнеровской случайной матрицей размерности п х п называется эрмитова матрица W = (w/j)",-=i, элементы wij, 1 / j п которой являются независимыми случайными величинами, причем: 1. wij, 1 / j п — независимые одинаково распределенные комплекс ные случайные величины, с независимыми вещественными и мнимыми частями, распределение которых не зависит от п, такие что Ewtj = 0, Е К2 = сг2, 2. wu, 1 / п — независимые одинаково распределенные вещественные случайные величины, с не зависящим от п распределением, такие что Ег% = 0, Егпц2 = а2. Пусть W - вигнеровская случайная матрица. Одним из важных объектов изучения при исследовании спектральных свойств вигнеровских матриц является эмпирическая спектральная функция распределения матрицы. Определение 3. Пусть Лі Лг Хп упорядоченные по возрастанию собственные значения нормированной матрицы - W. Эмпирической спектральной функцией распределения матрицы W называется функция 1 п где 1{я} обозначает индикатор события В. В своей работе [46] 1958 г. Вигнер рассмотрел вещественную симметричную матрицу W = (w/j)Ij=i элементы юц, 1 I j п которой суть независимые одинаково распределенные случайные величины со средним Ewij = 0 и дисперсией Eif/j2 = а2. Он показал, при условии ограниченности всех четных моментов элементов wij и равенстве нулю всех нечетных моментов элементов wij, что ожидаемая эмпирическая спектральная функция распределения EFn(x) нормированной матрицы 4=W сходится, в супре-мальной метрике, к некоторой функции распределения G(x), с плотностью l(x) = G (x) = 7 у/ 2-х2І{{х 2а]. 2тта2 Факт такой сходимости называют обычно сходимостью к полукруговому закону, а функцию распределения G(x) и плотность д(х) — функцией распределения и плотностью полукругового закона соответственно. При доказательстве этого факта, Вигнер использовал метод моментов. Для удобства читателей мы приведем схему подобного доказательства в самом простейшем случае — случае, когда элементы матрицы W имеют вид w\j — ту, 1 / j п, где ц — радемахеровские случайные величины, то есть величины, принимающие с вероятностью 1/2 либо значение 1, либо значение -1 (именно такой случай рассмотрел Вигнер в работе [45] 1955 г.). Пусть Mfc обозначает к-ый момент ожидаемой эмпирической спектральной функции распределения EFn(a;), а т& — fc-ый момент функции распределения полукругового закона G(x). Лемма АЛЛ. Пусть L(F,G) обозначает расстояние Леви между функциями распределения F и G. Тогда L2{F,G) f \F{x)-G(x)\dx. — 00 Доказательство. Не ограничивая общности, мы можем считать, что L(F, G) 0. Тогда для любого є Є (О, L(F, G)) найдется такое ж, что выполнено F(x-e)- G(x), или F(x + e) + G{x). (АЛЛ) Если выполнено первое из неравенств, то между графиками функций F и G целиком содержится квадрат, определяемый точками (х — s,F(x — є) — є), (x)F(x - є) - є), (ж - ,F(x - є)) и (x,F(x — є)). В случае выполнения второго неравенства — квадрат, заключенный между точками (ж, F(x + є)), [х + є, F(x + є)), (ж, F(x + є) + є) и (х + є, F(aj + є) + є). Оба квадрата имеют площадь 2. Устремляя є к L(F, G), получим требуемое. Лемма АЛ.2. Пусть L(F,G) обозначает расстояние Леви между функциями распределения F и G, A(F,G) = swpx \F(x) — G(x)\ — расстояние Колмогорова. Тогда L(F,G) A(F,G). Если, кроме того, функция распределения G удовлетворяет условию Липшица supa. \G(x + y) — G(x)\ L \y\, для любого у, то имеет место неравенство A(F,G) (L + 1)L(F,G). Доказательство. Первое утверждение сразу же вытекает из неравенств (А. 1.1). Для доказательства второго выберем произвольное є Є (О, A(F, G)). Очевидно найдется такое х, что выполнено одно из неравенств: F(x) G(x) + є, или G(x) F(x) + . Для определенности будем считать, что выполнено первое неравенство. Так как функция распределения G удовлетворяет условию Липшица, имеем откуда следует L(F, G) L + 1 Выполнив предельный переход — A(F,G), получим требуемое. Пусть G(x) обозначает функцию распределения полукругового закона с плотностью G\x) = 2 2 Л/40"2 - Ж2 1{х 2а} Рассмотрим ее преобразование Стилтьеса Здесь и далее z = и + iv — комплексная переменная с мнимой частью v 0. Символом y/w мы будем обозначать квадратный корень комплексного числа гу, имеющий положительную мнимую часть, то есть у/ш — у/ге1 !2, где w — rellf, 0 (p 27г. Выполняя в последнем интеграле последовательно замены переменных х = 2 xcos0 и ( = егв, получим 2 т , 1 х/4а2 - х2 2 Г sm29 Ап s\z) - т,—о / dx = - / ад 2тта1 J х - z 7Г J 2 j cos в - г -2а О 2тг = 1 / sin ИЙ= 1 / (с2 -1)2 ,, тгУ 2 rcos0-z 4тгг J (2{а(2 - z( + а) о С=1 Для вычисления этого интеграла мы воспользуемся теоремой о вычетах. Во-первых, заметим, что подынтегральная функция имеет три особые точки — О и Cii2 = (z ± \lz2 -4ст2)/(2а), с вычетами z/a2 и ±(l/a2)\/z2 - 4а2) соответственно. Так как (д являются решениями квадратного уравнения а(2 — z( + о = О, то, по теореме Виета, С1С2 = 1- Далее, можно легко убедиться, что z и \/z2 - 4 т2 лежат в одной четверти комплексной плоскости. Поэтому абсолютное значение числа (д больше абсолютного значения числа (г, а значит Рассмотрим эрмитову матрицу W = {wij)ij=\i мнимые и вещественные части элементов которой являются независимыми случайными величинами. Пусть Ewij = 0, Eu /j2 = а2, при 1 / j п. Мы будем предполагать также равномерную ограниченность четвертых моментов элементов матрицы W, то есть условие М± := sup Е \wij\4 00. Пусть Лі Аг An — упорядоченные по возрастанию собственные значения нормированной матрицы W, a Fn(x) — ее эмпирическая спектральная функция распределения. Обозначим через sn(z) преобразование Стил-тьеса функции Е Fn(x). Здесь и далее z = и + iv — комплексная переменная с мнимой частью v 0. Далее, пусть af = (wik,..., ги( _1)А, W(k+i)k,..., wnk), а матрица Wk получена из матрицы W удалением к-го столбца и к-оя строки. Символами R и Rjt мы будем обозначать резольвенты матриц - W и У к соответственно. Таким образом, R := ВД := (- W - zlny\ Rk := Rk(z) := (4 - z\n \ Очевидно, что sn(z) = ETrR(z). Рассмотрим величины 11 11 єк := -т=Щк OL kRkak + (?2sn(z) = -p№tt (a kRkak - a2TrRfc) 2 2 + — (TrR - TrRfc) - — (TrR - ETrR). n n Справедлива следующая лемма. Лемма А.3.1. Для любого v 0 и всех к = 1,..., п выполнено неравенство Доказательство. Несложно убедиться, что "1 Е \ek\2 А(-Е \wkk\2 + - Е \a kRkak - a2TvRk\2 4 4 + гЕ TrR - TrRJ2 + гЕ ITrR - ETrR2Y пг пг ) IT JV Так как TrR — TrR I v l, то для третьего слагаемого мы имеем оценку вида 4 ElrRrR 4 4r В свою очередь, для второго слагаемого выполнено неравенство Е \a kRkak - cr2TrRfc2 « Е \\Rk\\2HS. Поэтому, замечая, что E\\Rk\\2HS = (п- 1) / —L-dEFW{x) шГ2, -оо где Fn (х) обозначает эмпирическую спектральную функцию распределения матрицы T Wfc, получим \Е \a kRkak - a2TrRk\2 . nl nvz Таким образом, нам остается оценить только последнее слагаемое. Для этого мы, следуя работе Гирко [2], представим Tr R — ЕТг R в виде суммы мартингал-разностей. Пусть Е обозначает условное математическое ожидание относительно сг-алгебры Fd = cr{wij : d + 1 I j п}. Рассмотрим величины ld := Ed_iTrR - E TrR = Ed.l(jd - Edad, где (Jd lrRrRd. Тогда TrR-ETrR = 7d. Нетрудно проверить, что I I l V откуда непосредственно следует неравенство , , 2 7d - v Замечая, что величины 7d, d = 1,..., п, независимы, легко получим а4 , 9 4 т4 Е TrR-ETrR2 - . пг nvl Тем самым, лемма доказана. В этом приложении мы, следуя статье Иоханссона [35J, получим интегральное представление плотности собственных чисел матрицы из деформированного гауссовского унитарного ансамбля. Рассмотрим эрмитовую случайную матрицу М порядка п из нормированного деформированного гауссовского унитарного ансамбля. Пусть М = - (W + аН), а 0, где W = (гиу)",-=1 обозначает вигнеровскую случайную матрицу, а Н = (Ы ,=1 — независимую от нее матрицу из GUE, причем Е \щ\2 = ,ЦКІ п,иЕ Лу2 = 1, 1 / j п. Обозначим Pn(dW) распределение вигнеровской матрицы 4jW. Тогда распределение вероятностей матрицы М имеет вид dQn(M) = 2-»/2 (- )"V2 fe- M- w» dPn(W)]dM. Пусть рп(х\,..., хп) — совместная плотность распределения собственных чисел матрицы М, а т/1,..., уп — собственные числа нормированной вигнеровской матрицы матрицы - W. Имеет место следующая лемма.Оценка Т^-нормы
Оценка расстояния Колмогорова
Доказательство теоремы 2.1
Метод наискорейшего спуска
Похожие диссертации на О скорости сходимости спектральной функции распределения случайной матрицы


















