Содержание к диссертации
Введение
Глава 1 Существующая инфраструктура экспорта нефти из ТПНГП 6
1.1. Месторождения углеводородов Тимано- Печерской нефтегазоносной провинции 6
1.2. Существующие схемы транспортировки нефти из Тимано-Печорской нефтегазоносной провинции 15
1.3. Существующие и проектируемы нефтепроводы 39
1.4. Порты Балтийского моря и морей Северного Ледовитого Океана 47
Глава 2 STRONG Возможные варианты транспортировки экспортной нефти с месторождений
шельфа Баренцева и Печорского морей STRONG 63
2.1 Трубопроводные варианты 65
2.2. Танкерные варианты 71
2.3. Альтернативные способы транспортировки нефти 88
2.4. Фрахт судов 89
Глава 3 Методы выбора оптимального маршрута и расчета его характеристик 91
3.1. Порядок определения стоимости строительства и эксплуатации танкеров 91
3.2. Порядок определения стоимости строительства и эксплуатации нефтепроводов 118
3.3 Методы оценки эффективности инвестиционных проектов 123
Глава 4 Определение экономических характеристик и рекомендации по выбору наиболее эффективной системы транспортировки нефти 141
4.1. Технические, эксплуатационные и экономические характеристики танкеров,
используемых в схеме транспортировки нефти с Приразломного нефтяного месторождения 141 4.2 Технические и экономические характеристики нефтепроводов, используемых в 'W схеме транспортировки нефти с Приразломного нефтяного месторождения .. 145
4.3. Сопоставление и оценка экономических характеристик возможных вариантов транспортировки нефти с Приразломного нефтяного месторождения 149
Заключение
- Существующие схемы транспортировки нефти из Тимано-Печорской нефтегазоносной провинции
- Танкерные варианты
- Порядок определения стоимости строительства и эксплуатации нефтепроводов
- Технические и экономические характеристики нефтепроводов, используемых в 'W схеме транспортировки нефти с Приразломного нефтяного месторождения
Введение к работе
Все крупнейшие промышленные державы мира являются крупными импортерами нефти. Существует тенденция к дальнейшему увеличению потребления нефти на всех крупнейших рынках мира - Северо-Американском, Европейском, Азиатско-Тихоокеанском - следовательно, импорт нефти ведущими державами возрастет, и, значит, добыча и последующая продажа нефти будет прибыльным и инвестиционно -привлекательным проектом.
Продажа нефти и нефтепродуктов на экспорт является, в настоящий момент, основой экономического благосостояния Российской Федерации. В связи с отсутствием у руководства государства внятной политики, направленной на развитие каких-либо отраслей промышленности, можно предположить, что добыча полезных ископаемых и продажа их на экспорт и в ближайшем будущем останется стержнем экономики РФ. Дальнейшая разведка и разработка нефтяных месторождений гарантирует России стабильное состояние экономики на ближайшее будущее, поэтому и Российское государство, и нефтяные компании России, занимающие верхние строки в списке крупнейших компаний страны, заинтересованы в увеличении объемов добычи нефти. В последние годы в России добыча и экспорт нефти неуклонно растут, что отображено в таблице 1.1
Таб. 1.1
Добыча и переработка нефти в России
*прогноз
По прогнозам специалистов рост добычи и экспорта нефти будет наблюдаться и в ближайшие годы. Это связано с тем, что государство выдало лицензии на освоение почти всех разведанных месторождений. Нефтяные компании на волне нефтяного бума извлекли достаточно прибыли для того, чтобы начать освоение этих месторождений. В то же время давать прогнозы на срок более 10 лет проблематично — в последние годы, несмотря на сверхприбыли нефтяных компаний, геологоразведка новых месторождений находится в кризисе и значительного прироста доказанных запасов нефти ожидать не откуда. Однако, если и государство, и нефтяные компании начнут финансирование разведочных работ, «провала» в росте доказанных запасов и, соответственно, последующего с некоторым временным интервалом, «провала» в нефтедобыче, удастся избежать.
К настоящему моменту основными районами нефтедобычи в РФ являются Западная Сибирь и Урало-Поволжье, поставляющие ок. 90% нефти страны. Однако месторождения Западно-Сибирского и Уральско-Поволжского регионов, добыча на которых ведется многие десятки лет, истощаются. Ожидается, что в ближайшие десятилетия центр нефтедобычи сместится в новые, перспективные в нефтегазоносном отношении, регионы.
Одним из самых перспективных нефтяных регионов Российской Федерации является Тимано-Печорская нефтегазоносная провинция (ТПНГП). В ТПНГП уже достаточно давно ведется добыча нефти, объем разведанных ресурсов превышает объем уже выработанных, кроме того, существуют участки, разведка на которых не проводилась, но по оценкам специалистов, там также с высокой долей вероятности можно обнаружить залежи нефти. К месторождениям ТПНГП относятся и
месторождения шельфа Баренцева и Печорского морей, на которых сосредоточены значительные запасы нефти и газа.
Крупнейшие нефтяные компании России и мира уделяют все больше внимания добыче нефти на месторождениях шельфа, в том числе и на месторождениях шельфа России. Разработка месторождений шельфа связана, как правило, с большими начальными капиталовложениями и высокой себестоимостью добычи, поэтому выбор оптимального варианта транспортировки является одной из важнейших задач при освоении месторождения.
Основная цель исследования состоит в создании методического аппарата, обеспечивающего обоснование и выбор наиболее эффективных транспортных схем вывоза экспортной нефти с месторождений шельфа Баренцева и Печорского морей.
К настоящему моменту существует несколько работ, посвященных анализу
возможных вариантов транспортировки нефти из ТПНГП. Эти работы содержат
несколько важных недостатков. Так, в работе [1] приведен расчет экономических
характеристик одного из возможных вариантов транспортировки и дается его оценка без
сравнения с другими возможными вариантами, а также без сопоставления «танкерных»
и «нефтепроводных» схем транспортировки. В работе [44] определена экономическая
эффективность ограниченного количества вариантов транспортировки нефти с шельфа.
В источниках [53], [109] приведены данные, полученные в ходе разработки технико-;
экономического обоснования освоения Приразломного нефтяного месторождения. Из
приведенных данных видно, что выполненные расчеты не учитывают возможных
изменений параметров, являющихся исходными для экономических расчетов и
напрямую влияющих на конечный результат, таких, как цена на нефть, количество
ежегодно добываемой нефти и т.д. <- - :-.<*
Настоящая работа предлагает способ сопоставления схем транспортировки на основе анализа их экономических показателей. Рассмотрены возможные варианты транспортировки нефти, включая морские и сухопутные, исследованы изменения экономических показателей функционирования систем транспортировки в зависимости от изменения исходных параметров.
Для решения поставленной задачи в работе было проанализировано современное состояние и прогноз развития геологоразведки и нефтедобычи на шельфах Баренцева и Печорского морей; исследованы существующие и планируемые схемы транспортировки нефти из ТПНГП; сделан вывод о перспективности их применения для транспортировки нефти с шельфа. Разработан метод определения контрактной стоимости строительства и эксплуатации судов; рассчитаны технические и эксплуатационные характеристики и соотношения, характерные для современных танкеров; создана база данных по проектам современных танкеров, включая танкера-челноки и танкера ледового класса; проанализирована применимость критериев, принятых в современной экономической теории для оценки эффективности вариантов транспортировки нефти с месторождений шельфа; обоснованы значения и границы изменения параметров, необходимых для расчета технических, эксплуатационных и экономических характеристик возможных вариантов транспортных схем.
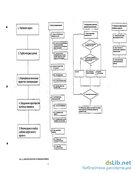
Блок-схема проведенных исследований приведена на рис.1.1
1. Постановка задачи
2. Подбор исходных данных
L Періщиш рнш
іркпнмгаоиеіьів
—|i :1 Jh* га йї* тмітря ійн,цьщїяяі
. ( : s
J32 (Вин? иих&исйюк (ціг|ні]ш)
1 Форннроаанпб всэчмш
іраищтміни
-I2L *ііік«н«іт
ItudHK
Г|ір1ї|ЧІЯ
3. Формирование возможных вариантов транаюртировки
— Шйикмбгопняшл
ill (ИЦЧЫрЦЧГЩ
і Определение характеристик
возможных вариантов
іріОС|т(ЮИІІ»)ті
-11L цтипийщщи
-|1Л.|4яіщимчга |кві*
З J, Мор вчад ннйвфнк ції рли ти-тйщ
исшташт*! і
-г
<— lil 14ml» turn тни
5, Рекомендации по выбору наиболее эффективного
варианта
2.4, Ьгазшмм підори
(к. її, модашшіл іещсш шша
ЗЛІ. Спнґь-Htn і,тіат'Всч«и)
'.4І teejomi nribuwtiMiiit
Существующие схемы транспортировки нефти из Тимано-Печорской нефтегазоносной провинции
Создание Балтийской трубопроводной системы — БТС — крупнейший государственный коммерческий проект последних лет. БТС является так называемым Южным направлением экспорта нефти из Тимано-Печорской нефтегазоносной провинции (ТПНГП). Балтийская трубопроводная система, состоящая из нефтепроводов Ярославль - Кириши и Кириши - Приморск соединила специально построенный для экспорта нефти порт Приморск с системой магистральных нефтепроводов компании «Транснефть», главным образом с нефтепроводом Уса - Ухта - Ярославль, транспортировавшим нефть с месторождений Тимано-Печоры (подробнее см. 1.3).
Во времена СССР нефть экспортировалась из портов нынешних стран Балтии, которые имеют ряд преимуществ по сравнению с российскими. Порты стран Балтии реже замерзают в зимне-весеннюю навигацию, и что самое главное, предельные глубины и, соответственно, предельный дедвейт судов, которые могут принимать порты, в основном больше, чем у российских конкурентов. (См.п.1.4.). Доставка нефти в порты Латвии и Литвы осуществляется по нефтепроводам, соединенными с нефтепроводами «Транснефти». Порты Латвии, Литвы, а также Эстонии уже имеют необходимую, современную инфраструктуру, техническую базу. После распада СССР прибалтийские страны не стояли на месте и модернизировали портовое хозяйство, которое теперь отвечает самым высоким мировым стандартам.
После распада СССР российская нефть продолжала экспортироваться через прибалтийские порты. С одной стороны это позволило российским компаниям обойтись без затрат на создание собственной экспортной инфраструктуры, с другой стороны сотни миллионов долларов, потраченные российскими нефтяными компаниями на транспортировку нефти, уходили в экономику стран Балтии, вместо инвестиций в экономику России. Россия, кроме того, что несла потери финансовые, давала странам Балтии политический козырь - единственным российским конкурентом на Балтике в перевалке нефти был Санкт-Петербург, известный своими малыми глубинами.
Напротив, возможное строительство порта в Приморске и трубопровода до него давало политические козыри России - можно в любой момент прекратить подачу нефти в один из портов Балтии. Кроме того, нефть из Тимано-Печорской нефтегазоносной провинции получала доступ на Европейский рынок.
Были в строительстве нефтепровода выгоды и для частных нефтяных компаний, для которых тариф на транспортировку и перевалку нефти оказался ниже, чем в странах Балтии. Компания «Транснефть» - владелец БТС - повысила тарифы на транспортировку нефти в направлении портов стран Балтии (это разумная протекционистская мера), а тариф на перевалку нефти в Приморске, рассчитанный исходя из срока окупаемости проекта в 9 лет, оказался ниже, чем в Прибалтике в 2-2,5 раза.
То, что порт Приморск замерзает в зимне-весеннюю навигацию, не очень сильно влияет на рентабельность проекта, т.к. предусмотрено использование ледоколов, что увеличивает стоимость перевалки нефти примерно на 1 доллар за тонну. Как ни странно, но расположенный на севере Приморск оказывается более «работоспособным», чем Новороссийск. Две недели в году Новороссийский порт не принимает танкеры из-за ураганных ветров, Приморск работает круглогодично. Кроме того, суда, идущие в Новороссийский порт, следуют проливами Босфор и Дарданеллы, с прохождением которых возникают многочисленные проблемы.
Руководствуясь этими предпосылками, Правительство РФ приняло постановление РФ №1395 от 16.10.1997г., которое планировало строительство Балтийской трубопроводной системы и порта Приморск и создало, таким образом маршрут ТПНГП -БТС - Приморск.
В декабре 2001 года первая нефть, доставленная в порт Приморск по БТС, была загружена на танкер «Петрокрепость» и маршрут БТС - Приморск начал работать. В 2002 году мощность составила 12 млн. тонн, в 2003 году возросла до 18 млн. тонн.
Мощность этого направления на настоящий момент составляет 30 млн. тонн, в ближайшее время будет доведена до 42 млн. тонн нефти в год и помимо этого, существует возможность ее наращивания до 100 — 150 млн. тонн нефти и нефтепродуктов в год.
Маршрут используют все крупнейшие российские нефтяные компании, в порт Приморск также идет транзитом казахская нефть. Со строительством нефтепровода Харьяга — Уса нефть месторождений Тимано-Печорской нефтегазоносной провинции напрямую пойдет в Приморск.
Достоинства маршрута - Наличие трубопровода позволяет обойтись минимальным числом перевалок, что значительно удешевляет транспортировку нефти, уменьшая расходы как на саму перевалку, так и сокращая расходы на хранение. Доставка нефти до порта по нефтепроводам дает значительную экономию в сравнении с транспортировкой речным и железнодорожным транспортом.
Глубины порта Приморск позволяют принимать суда дедвейтом до 120 тысяч тонн — максимальный дедвейт судов, способных заходить в Балтийское море. Ни один другой российский порт на Балтике не имеет таких глубин, а порт Санкт-Петербург, к которому нефть может поступать по трубопроводам и вовсе не принимает танкера дедвейтом более 30 тысяч тонн.
Маршрут позволяет наращивать объемы до 100 млн. тонн в год (по некоторым оценкам до 150 млн. тонн). Дополнительно строить терминалы можно на территории порта Приморск, где зарезервировано место как под новый терминал, так и под нефтеперерабатывающий завод (см. п. 1.4). Возможность строительства нефтеперерабатывающего завода и планы компании «Транснефтепродукт» по подведению к Приморску нефтепродуктопровода, проложенному по маршруту БТС, могут превратить Приморск из чисто нефтяного в нефтяной и нефтепродуктовый терминал. Существование нефтепровода до порта облегчает и удешевляет строительство и проектирование следующих очередей трубопровода. То, что нефтепровод БТС включен в систему магистральных трубопроводов компании «Транснефть» позволяет доставлять нефть в Приморск из любого конца России, т.к. сетью нефтепроводов покрыта вся страна.
Строительство БТС и порта Приморск дало значительные инвестиции в экономику Ленинградской области. По сравнению с маршрутами российской нефти через порты стран Балтии, существовавшими до строительства, значительные средства (около 100 млн. долларов в год) вернулись в экономику России, а часть их через налоги и сборы непосредственно в государственную казну.
Нефть, поставляемая из Приморска идет, главным образом, в Роттердам, на дальнейшую перевалку, а также в порты Германии. В свою очередь, переваленная в Роттердаме нефть частично отправляется на нефтеперерабатывающие заводы в странах севера Европы. Нефть же на Севере Европы продается дороже, чем в странах Средиземноморья, куда российская нефть попадает из Новороссийска. На средиземноморском рынке много нефти из арабских стран и цены в среднем на 1 доллар за баррель (около 7,2 доллара за тонну) ниже, чем на севере Европы. На север Европы нефть поставляется либо из Северного моря, где качество нефти имеет тенденцию к ухудшению, а количество — к уменьшению вследствие истощения месторождений, либо из арабских стран, откуда путь дольше.
Танкерные варианты
Достоинства и недостатки применения танкеров - челноков Для транспортировки нефти, добытой на морском шельфе, применяются танкера -челноки (Shuttle tankers). Эти танкера предназначены специально для приема нефти с морских добычных платформ и доставки ее потребителю или в порты перевалки. Из-за сложных условий загрузки в открытом море с добычной платформы (т.н. точечный причал) танкерам - челнокам необходимо специальное дорогостоящее оборудование. Оно включает в себя систему динамического позиционирования, состоящую из носовых и кормовых подруливающих устройств с системой управления (DPS), носовое приемное грузовое устройство (bow loading system). Также танкера — челноки оборудуются вертолетной посадочной площадкой. Кроме этого танкера-челноки, как правило, имеют два движителя и, соответственно, две главных энергетических установки. Танкера —. челноки дороги в постройке, в эксплуатации они обходятся дороже обычного танкера того же дедвейта. Если добычная платформа расположена во льдах, то в качестве танкера- челнока может использоваться и танкер двойного действия.
При разработке месторождения на морском шельфе существует два альтернативных способа транспортировки нефти — танкерный и трубопроводный. В связи с дороговизной танкеров-челноков для месторождений шельфа, малоудаленных от берега, зачастую прокладывается нефтепровод до ближайшего нефтяного терминала. Однако в случае значительной удаленности месторождения от берега или в случае неразвитости береговой инфраструктуры альтернативы танкерам - челнокам нет.
Данные по существующим проектам танкеров — челноков приведены в Приложении 2. Достоинства и недостатки применения ПНХ При добыче нефти на шельфе всегда возникает вопрос ее промежуточной перевалки перед отправкой в порт назначения. Для промежуточной перевалки существует несколько причин.
При транспортировке нефти от добывающей платформы посредством нефтепровода дотянуть нефтепровод до порта назначения нерентабельно, вследствие длительных сроков и дороговизны его строительства.
При транспортировке нефти от добывающей платформы посредством танкеров -челноков везти нефть прямо до порта назначения также не лучший вариант;
Во-первых, танкера - челноки значительно дороже своих обычных «собратьев». Их использование на всем маршруте «шельф - порт назначения» вызовет потребность в строительстве большой серии таких танкеров и, следовательно, дополнительные расходы. Если же танкер - челнок имеет ледовый класс (это случается при добычи нефти в арктических морях), то его строительство еще дороже, а эксплуатация по «чистой» воде еще менее рентабельна из-за специфических обводов.
Во-вторых, мировая торговля привыкла к определенным партиям нефти, соответствующим основным тоннажным группам танкеров. Если дедвейт танкера -челнока не попадет в характерный дедвейтный диапазон, то это вызовет дополнительные издержки при продаже нефти.
Кроме всего вышеизложенного следует учесть, что нефтедобывающие компании любят продавать нефть как можно скорее и не хотят сами везти ее в порт назначения. Поэтому нефтяные компании прибегают к промежуточной перевалке добытой на шельфе нефти. В качестве пункта перевалки выбирается, как правило, ближайший порт, в котором есть нефтяной терминал или есть возможность его построить. Но следует помнить, что строительство нефтяного терминала на берегу — дорогое и хлопотное дело, кроме того, строительство терминала может затянуться на продолжительный срок. Также возможен вариант, при котором строительство нефтяного терминала нерентабельно из-за небольшого объема нефтедобычи и малых сроков разработки месторождения.
В случае, когда у нефтедобывающей компании нет «под рукой» нефтяного терминала, а его строительство оказывается дорогим и длительным у компании существует два пути. Первый: Все-таки везти нефть в порт назначения танкерами — челноками сразу с мест добычи.
Второй: Приобретение или аренда плавучего нефтехранилища (танкера накопителя). В качестве плавучих нефтехранилищ используются, как правило, крупнотоннажные танкеры, подлежащие списанию. Танкеры подлежат списанию, в основном, не из-за плохого технического состояния (хотя срок службы большинства таких танкеров более 20 лет), а из-за несоответствия современным международным экологическим требованиям (у этих танкеров нет двойного борта для изолированного . балласта). Использование плавучего нефтехранилища имеет следующие достоинства и -: недостатки: : Достоинства:
Порядок определения стоимости строительства и эксплуатации нефтепроводов
В основе процесса принятия управленческих решений инвестиционного характера лежит оценка и сравнение объема предполагаемых инвестиций и будущих денежных поступлений. Поскольку сравниваемые показатели относятся к различным моментам времени, ключевой проблемой здесь является их сопоставимость. Относиться к ней можно по-разному в зависимости от существующих объективных и субъективных условий: темпа инфляции, размера инвестиций и генерируемых поступлений, горизонта прогнозирования и т.п.
Две ключевые проблемы, возникающие при сопоставлении получаемых от проекта доходов с требуемыми инвестициями - выбор способа сопоставления (т.е. критерия оценки инвестиционного проекта) и точность оценки исходных параметров, задаваемых при расчете критерия.
В нашем случае, текущие денежные поступления от проекта CFpk. будут представлять собой средства, вырученные от продажи нефти, т.е. произведение количества проданной нефти на ее стоимость, а к текущим расходам на проект CFck будут относиться расходы на добычу и транспортировку нефти, а также налоги.
С точки зрения экономической теории важнейшими моментами в процессе оценки единичного проекта или составления бюджета капиталовложений относятся: а) прогнозирование объемов реализации с учетом возможного спроса на продукцию (поскольку большинство проектов связано с дополнительным выпуском продукции); б) оценка притока денежных средств по годам; в) оценка доступности требуемых источников финансирования и оценка приемлемого значения цены капитала, используемого в качестве коэффициента дисконтирования; г) назначение срока деятельности проекта. а) Анализ возможной емкости рынка сбыта продукции, т.е. прогнозирование объема реализации, наиболее существен, поскольку его недооценка может привести к потере определенной доли рынка сбыта, а его переоценка - к неэффективному использованию введенных по проекту производственных мощностей, т.е. к неэффективности сделанных капиталовложений.
В нашем случае проблема прогнозирования объемов потребления продукции отсутствует, т.к. спрос на нефть устойчив во всем мире, особенно на севере Европы, где предполагается реализовывать нефть, добываемую на арктическом шельфе. Можно считать, что вся нефть, предложенная на рынок в рамках реализации проекта, будет потреблена. Проблема заключается в прогнозировании объемов производства — неизвестно точное количество нефти, которое будет добываться на шельфе.
Для Приразломного и находящихся радом месторождений (Медынское, С-Гуляевское, С.-Долгинское, Ю.-Долги некое, Полярное) известен прогноз объема добываемой нефти для каждого года добычи на весь срок эксплуатации месторождения. Для других разведанных месторождений арктического шельфа (Поморское, Русское, Колокол морское) объемы добычи прогнозируются с большой долей вероятности (подробнее см. п.1.1). Однако будет ли осуществляться нефтедобыча на этих месторождениях одновременно или последовательно, будет осуществляться одной компанией или несколькими - неизвестно. В последнее время сроки ввода в эксплуатацию лицензионных участков на арктическом шельфе все время переносятся, т.к. в данный момент нефтяным компаниям выгоднее сосредоточиться на более простых и привычных «наземных» проектах, поэтому при некоторых условиях возможен вариант замораживания проектов нефтедобычи на шельфе. В связи с вышесказанным в работе принято, что объем добываемой нефти будет варьируемым параметром.
Возможны 4 основных сценария развития нефтедобычи на шельфе: 1. Нефть не добывается (проект заморожен). 2. Объем добычи 6 млн. тонн в год (нормальный среднегодовой объем добычи -на Приразломном месторождении). 3. Объем добычи 7,5 млн. тонн в год (максимальный объем добычи на Приразломном месторождении). , 4. Объем добычи 14 млн. тонн в год (достигается при совместном одновременном освоении месторождений шельфа). - . к,-.,,., . . б) Что касается оценки притока денежных средств по годам, то, с точки зрения экономической теории, основная проблема возникает в отношении последних лет реализации проекта, поскольку, чем дальше горизонт планирования, т.е. чем более протяжен во времени проект, тем более неопределенными и рискованными рассматриваются притоки денежных средств отдаленных лет. Поэтому могут выполняться несколько расчетов, в которых в отношении значений поступлений последних лет реализации проекта могут вводиться понижающие коэффициенты либо эти поступления ввиду существенной неопределенности могут вообще исключаться из анализа.
Главная проблема, обычно стоящая в этой части - как будет потребляться продукт в конце его выпуска, т.к. продукт может устареть и перестать отвечать предъявляемым к нему требованиям. В нашем случае об устаревании продукта речь не идет, т.к. на ближайшее время альтернативы нефти нет. Проблема же возникает при оценке стоимости нефти за все время реализации проекта, что напрямую влияет на объем поступающих средств, т.к. денежные поступления рассчитываются как произведение цены на нефть на объем добываемой нефти.
В нашем случае возможно с высокой точностью рассчитать как размер начальных капитальных вложений 1С, связанные со строительством судов или трубопроводов, так и текущие расходы на проект, связанные с возможным фрахтом судов и обслуживанием построенной инфраструктуры. Рассчитать же с высокой точностью денежные поступления от проекта в течение срока деятельности не представляется возможным в связи с постоянным изменением цен на нефть. Поэтому в расчете цена на нефть принята как варьируемый параметр.
Технические и экономические характеристики нефтепроводов, используемых в 'W схеме транспортировки нефти с Приразломного нефтяного месторождения
Допущения, принимаемые при расчете экономического эффекта. С месторождения необходимо вывезти всю, добытую в течение рассматриваемого срока, нефть. Нефть доставляется равномерно, вывозится партиями, равными грузоподъемности судна по мере накопления. Вся нефть, вывезенная с месторождения, будет продана. Денежный поток, поступающий в результате инвестирования, будет являться разницей между продажной стоимостью нефти и расходами по добыче и транспортировке нефти к месту продажи.
Танкер совершает то число рейсов, которое необходимо для освоения заданного грузопотока. Прочее время танкер проводит на стоянке в порту. Фрахтуемый танкер фрахтуется на срок, необходимый для освоения грузопотока. Инфраструктура, созданная для транспортировки нефти, во время простоя, связанного с задержкой введения в строй одного из элементов схемы, работает с нулевой рентабельностью. При расчете составного критерия К принимаем следующие вероятности осуществления сценариев: Изменение объемов добычи: 6 млн. тонн/год - 70%, прочие - по 10%. Изменение стоимости нефти: 30 US$/6appenb - 50%, 24 и8$/баррель и 36 US$/6appenb - по 25%.
Как видно из сводных таблиц 4.3 и 4.4 и таблиц, представленных в приложении 6, ни один из вариантов однозначно нельзя назвать наиболее эффективным. В зависимости от выбора критерия оценки, изменения исходных данных, горизонта прогнозирования будет изменяться наиболее эффективный вариант.
С позиции критериев оценки эффективности в условиях экономической определенности (NPV, PI, DPP) для наиболее вероятного прогнозного значения (объем вывозимой нефти - 6 млн. тонн в год, стоимость 30 иЗ$/баррель, горизонт прогнозирования 7- 12 лет) наилучшими вариантами будут №9 и №10, связанные с использованием системы магистральных нефтепроводов компании «Транснефть». Через 10 лет работы проекта накопленная дисконтированная прибыль NPV составит 776 млн. US$ для варианта 9 и 782 млн. US$ для варианта 10. Отдача на единицу вложенных средств PI составит 1,53 и 1,51 соответственно, срок окупаемости проекта DPP 4,9 года. Рассматривая варианты 9,10, следует учитывать возможность введения банка качества нефти (см. п. 2.1.1). В этом случае значения критериев NPV, PI, DPP вариантов 9,10 будут соответствовать значениям тех же критериев вариантов 14,15. В этом случае предпочтительнее будут схемы 5,6 (вариант «Роснефти»). PI вариантов 5,6 составит 1,50 и 1,40 соответственно, а для вариантов 14,15 -1,43 и 1,41 соответственно. Значения критерия NPV для вариантов 14,15 составят 626 и 633 млн. US$ соответственно, а для вариантов 5,6 - 690 и 692 млн. US$ соответственно. NPV и PI всех рассматриваемых вариантов (в процентах от варианта 5) через 7 и 12 лет реализации проекта для основного расчетного варианта приведены на рис. 4.1 и 4.2.
При увеличении количества вывозимой нефти до 7,5 млн. тонн (максимальный объем добычи на Приразломном) варианты 9,10 также будут предпочтительными по всем критериям. На 10 год работы проекта NPV вариантов 9,10 составите 321 и 1339 млн. US$, PI — 1-,90 и 1,87, DPP 3,6 и 3,7 года соответственно. В случае введения.банка качества нефти предпочтительнее станут варианты 5,6. У вариантов 5,6 NPV составит 1157 и 1182 млн. US$, PI - 1,84 и 1,81, DPP - 3,8 и 3,9 года соответственно, а у конкурирующих вариантов 14,15 NPVсоставит 1134и 1152 млн. US$, PI- 1,78 и 1,75, DPP-4,0 года соответственно.
При дальнейшем увеличении количества вывозимой нефти до 14 млн. тонн предпочтительными вариантами с точки зрения всех трех критериев также будут 9,10. NPV 9,10 вариантов составит 3732 и 3738 млн. US$, PI - 3,55 и 3,29, DPP - 1,7 и 1,9 года соответственно. В этом случае, даже при введении банка качества нефти, предпочтительным будет вариант, связанный с транспортировкой по нефтепроводу до Приморска. Так, NPV вариантов 14,15 составит 3383 и 3389 млн. US$ соответственно, а у вариантов 5,6 тот же показатель составит 3231 и 3262 млн. US$ соответственно, PI вариантов 14,15 составляет 3,31 и 3,08 соответственно, а вариантов 5,6 - 2,99 и 2,81 соответственно. Этот результат выглядит логичным - при больших объемах перекачки нефтепровод предпочтительнее. Снижение рентабельности 5,6 на фоне 14,15 вызвано тем, что при объемах перевалки, превышающих 11 млн. тонн в год необходимо будет фрахтование второго ПНХ, и, следовательно, рентабельность вариантов понизится.
При замораживании проекта варианты, связанные с прокладкой нефтепровода (9,10, 12,13,14,15) будут самыми невыгодными, т.к. нефтепровод, построенный для транспортировки нефти с месторождения, останется невостребованным. Убыток, который принесут эти варианты, составит 346 млн. US$. Прочие проекты, не связанные со строительством нефтепровода, не принесут значительного ущерба, т.к. вся созданная инфраструктура может быть продана или сдана в аренду под реализацию других проектов.
При увеличении стоимости нефти с 30 до 34иЭ$/баррель изменятся количественные показатели критериев NPV, PI, DPP для всех вариантов, но предпочтительными останутся те же варианты, что и для основного прогнозного значения цены при соответствующих объемах транспортировки. Это связано с тем, что в расчетных формулах критериев изменятся только значения одного параметра CFpk. При более значительном увеличении цены возрастет также и экспортная пошлина, т.е. вместе с CFpk возрастет и CFck, и значение CFk=CFpk - CFck, являющееся исходным для расчета NPV, PI и DPP останется в прежнем диапазоне.














