Содержание к диссертации
Введение
ГЛАВА 1. Литературный обзор
1.1. Формирование стоков жидких радиоактивных отходов на АЭС 7
1.2. Методы переработки жидких радиоактивных отходов 11
1.3. Влияние органических комплексообразующих веществ на процессы очистки жидких радиоактивных отходов 13
1.4. Методы удаления органических веществ из ЖРО 17
1.4.1. Деструктивные методы удаления органических веществ 18
1.5. Обоснование постановки работы 32
ГЛАВА 2. Материалы и методы исследования
2.1. Реактивы 34
2.2. Методики исследований
2.2.1. Источники УФ-излучения г 34
2.2.2. Методика проведения озонолиза растворов 37
2.2.3 Методики проведения анализа растворов 37
2.2.4. Определение микроколичеств кобальта с осадком гидроксида железа
после озонирования кубовых остатков АЭС 39
2.3. Определение ошибок эксперимента 39
Глава 3. Окислительное разложение эдта в водных растворах
3.1. Разложение ЭДТА под действием УФ-излучения 41
3.1.1. Разложение ЭДТА в щелочных растворах 43
3.1.2. Разложение ЭДТА в щелочных растворах в присутствии Н202 52
3.1.3. Разложение комплекса [Со(П)-ЭДТА] в присутствии Н202. Выделение 60Со 71
3.1.4. Разложение ЭДТА в кислом растворе в присутствии Н202 77
3.1.5. Влияние нитратов 78
3.2. Разложение ЭДТА и его комплекса с 60Со озоном 81
3.2.1. Разложение ЭДТА 81
3.2.2. Влияние рН 86
3.2.3 Влияние концентрации ЭДТА и температуры 88
3.2.4. Влияние концентрации озона 93
3.2.5. Влияние солей 95
3.2.6. Разложение комплекса [Со (П)-ЭДТА]. Выделение 60Со 100
ГЛАВА 4. Окислительное разложение оксалат-ионов в водных растворах .
4.1. Разложение оксалат-ионов в щелочных растворах 107
4.1.1. Разложение оксалат - ионов в щелочных растворах в присутствии Н2Ог 109
4.2. Разложение оксалат-ионов озоном 117
4.2.1. Влияние рН 117
4.2.2. Влияние температуры 121
4.2.3. Влияние концентрации оксалат-ионов и озона 126
4.2.4. Влияние нитратов 137
ГЛАВА 5. Окислительное разложение комплексонов в жидких радиоактивных растворах
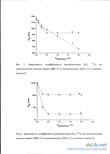
5.1. Изучение окислительного разложения комплексообразователей в реальных растворах 140
Выводы 146
Список литературы 148
- Методы переработки жидких радиоактивных отходов
- Источники УФ-излучения
- Разложение комплекса [Со(П)-ЭДТА] в присутствии Н202. Выделение 60Со
- Разложение оксалат - ионов в щелочных растворах в присутствии Н2Ог
Введение к работе
Актуальность темы. При дезактивации оборудования, а также при работе спецпрачечных образуются значительные объемы растворов, загрязненных радиоактивными элементами. В настоящее время на АЭС накоплены десятки миллионов кубометров жидких радиоактивных отходов (ЖРО) и резерв их хранилищ практически исчерпан. Поэтому актуальной задачей является разработка новых высокоэффективных методов и технических средств очистки отходов.
Локализация, концентрирование и переработка ЖРО значительно упрощается после удаления или разрушения содержащихся в них комплексонов (этилендиаминтетраацетата натрия - ЭДТА, щавелевой, лимонной кислот и др.), синтетических поверхностно-активных веществ (СПАВ), которые связывают радионуклиды и затрудняют их выделение традиционными физико-химическими методами. Наиболее эффективным способом в настоящее время является их окислительное разложение. Предварительная очистка ЖРО от органических примесей позволяет более эффективно и с меньшими капиталовложениями перерабатывать и хранить отходы на АЭС.
Цель работы. Основная цель настоящей работы заключалась в разработке научных основ технологии окислительного и фотоокислительного разложения органических комплексонов, присутствующих в ЖРО, позволяющей упростить переработку радиоактивных отходов. Особое внимание при этом уделялось разработке и изучению методов активации окислительных процессов, возможность не только повысить эффективность их протекания, но и минимизировать энергозатраты, а также обеспечить их экологичность.
В соответствии с этим были сформулированы и решены следующие конкретные задачи:
изучить возможность окислительного (Оз, Н2О2) и фотоокислительного (УФ/Н2О2) разложения комплексонов (ЭДТА, оксалат-ионов);
установить влияние различных факторов (рН-среды, температуры, концентрации озона и др.) на эффективность процесса разложения комплексонов;
подобрать оптимальные условия проведения процесса на реальных ЖРО.
Научная новизна.
- впервые систематически изучен озонолиз ЭДТА, оксалат-ионов в щелочных
растворах;
разработаны научные основы технологии окислительного разложения органических комплексонов концентрированным озоном и методы его активации;
- проведены исследования окислительного разложения комплексонов в реальных
растворах и продемонстрирована возможность последующего выделения радионуклидов
кобальта;
исследована возможность фотоокислительного разрушения органических комплексонов и их комплексов с радиоактивными элементами и определены параметры процесса.
Практическая значимость.
Практическая значимость работы определяется, прежде всего, тем, что проведенные исследования позволили предложить эффективную технологию очистки кубовых остатков и дезактивационных растворов.
Апробация работы. Результаты работы докладывались: на Пятой международной научно-технической конференции «Обращение с радиоактивными отходами», г. Москва,
2005 г., Международном рабочем семинаре «Мембранные беседы - 2006», г. Санкт -Петербург, 2006 г., Московской конференции - конкурсе молодых ученых, аспирантов и студентов «Физикохимия - 2008», г. Москва, 2008 г., Московской конференции -конкурсе молодых ученых, аспирантов и студентов «Физикохимия - 2009», г Москва, 2009 г., на Шестой Российской конференции по радиохимии «Радиохимия - 2009», г. Истра, 2009 г, на Международной конференции «Акватех 2010», 3-6 июня 2010 г., г. Москва, на Четвертой российской молодежной школе по радиохимии и ядерным технологиям, 6-10 сентября 2010 г., г. Озерск, Московской конференции - конкурсе молодых ученых, аспирантов и студентов «Физикохимия - 2010». В 2010 году научная работа Лагуновой Ю.О. стала призером конкурса «Инновация-2010».
Публикации. По теме диссертации опубликовано 3 печатных работы в журналах рекомендованных ВАК, 10 тезисов в сборниках докладов на российских и международных конференциях.
Структура и объем работы.
Диссертация состоит из введения, 5 глав, выводов, списка цитируемой литературы из 112 наименований. Работа изложена на 158 страницах печатного текста, включает 74 рисунка и 16 таблиц.
Методы переработки жидких радиоактивных отходов
Можно видеть, что в результате проведения дезактивационных работ в сточные воды поступают значительные количества комплексонов - таких как щавелевая, лимонная кислоты и ЭДТА.
Суммарное содержание различных компонентов в смеси отходов составляет обычно для отечественных АЭС с реактором РБМК 2 г/л, а с реактором ВВЭР - до 5 г/л [8].
Сточные воды концентрируются упариванием (солесодержание кубовых остатков выпарных аппаратов достигает 400 г/л), объединяются и направляются в хранилища жидких радиоактивных отходов, которые в дальнейшем подлежат переработке, поскольку образуются в таких больших количествах, что крайне сложно создать условия для их хранения [9].
Емкость существующих хранилищ отходов практически исчерпана. Сбрасывание же в открытые водоемы отходов допустимо только в том случае [10], если суммарная активность (по а- и Р-излучению) не более чем в десять раз превышает ПДК для воды открытых водоемов и обеспечивается десятикратное разбавление радиоактивных вод нерадиоактивными сточными водами в коллекторе данного предприятия.
Одной из наиболее актуальных проблем очистки стоков АЭС является наличие в них комплексонов, таких как ЭДТА, щавелевая кислота и других, которые образуют прочные комплексы с радионуклидами, в частности, с 60Со. Эти комплексы невозможно выделить из раствора традиционными способами (осаждение и сорбция). Кроме того, свободные комплексоны снижают коэффициент очистки растворов от Cs на ферроцианидных сорбентах.
Переработка жидких радиоактивных отходов направлена на решение двух главных задач: очистки основной массы отходов от радионуклидов и концентрирование последних в минимальном объеме. Для этого используют и как минимум три группы методов: термические [10-18], сорбционные [11, 18-25] и мембранные [25-46].
Термические и сорбционные методы достаточно хорошо разработаны и широко применяются на практике: в настоящее время на их основе работают очистные сооружения, перерабатывающие отходы, которые образуются при эксплуатации ядерных реакторов различного назначения, установок регенерации ядерного топлива и других объектов, использующих радиоактивные вещества.
Переработка отходов этими методами включает следующие операции: 1) образование (или введение в систему) новой фазы: в термических методах - паровой, а в сорбционных - твердой; 2) распределение радионуклидов между фазами с преимущественным концентрированием их в одной из фаз: в термических методах такой фазой, как правило, является жидкая, а в сорбционных - твердая; 3) разделение фаз в гравитационном или инерционном полях, а также фильтрованием.
В отличие от термических и сорбционных методов разделение компонентов отходов (вода - соли - радионуклиды) при использовании мембранных методов осуществляется на молекулярном уровне и поэтому не сопровождается образованием новых фаз, что представляет собой одно из основных преимуществ мембранных методов.
Все указанные методы заимствованы из различных традиционных производств и модифицированы. В основном это методы, применяемые обычно в области очистки, подготовки и опреснения воды.
Однако, при использовании перечисленных методов для переработки ЖРО (как уже отмечалось выше) возникают трудности, связанные с наличием в их составе комплексонов, таких как ЭДТА и щавелевая кислота, которые образуют устойчивые комплексы с радионуклидами и тем самым препятствуют их сорбции. Далее мы рассмотрим влияние органических комплексообразующих веществ на процессы очистки жидких радиоактивных отходов.
В составе ЖРО, наряду с неорганическими соединениями часто встречаются различные органические соединения, в частности, комплексообразующие и поверхностно-активные вещества (ПАВ). Наличие данных веществ характерно, в первую очередь, для дезактивационных растворов, вод спецпрачечных и санпропускников. В качестве комплексообразующих веществ наиболее часто используют щавелевую и лимонную кислоты, ЭДТА.
Влияние комплексообразующих веществ на процессы очистки ЖРО связано с их участием в образовании комплексных соединений с радионуклидами и другими компонентами раствора. В таблице 2 приведены значения отрицательных логарифмов констант нестойкости (рК) комплексных соединений с ионами, наиболее часто встречающимися в составе ЖРО.
Представленные в таблице 2 данные показывают, что большинство радионуклидов, обычно присутствующих в составе ЖРО, образуют прочные комплексы с оксалат- и этилендиаминтетраацетат - ионами. Исключение составляют ионы цезия, которые, как и другие щелочные металлы, не образуют прочных комплексов ни с одним из вышеперечисленных лигандов.
При сорбционной очистке ЖРО образование прочных комплексов радионуклидов приводит к резкому снижению коэффициентов распределения. В монографии [8 с. 168-177] указывается на то, что в присутствии щавелевой кислоты коэффициент очистки от радионуклидов на сильно- и слабокислотных катионитах, окисленном угле и вермикулите снижается в 4-5 раз.
Источники УФ-излучения
Рассмотрим процесс химического разложения соединения в водной среде (ЭДТА, в частности), инициированный действием света. Поглощение монохроматического пучка света в однородной среде подчиняется закону Ламберта-Бера: где 10 и I - интенсивности падающего и поглощенного света, є - молярный коэффициент поглощения (коэффициент экстинкции), С - молярная концентрация соединения и / - толщина поглощающего слоя.
В соответствии с законом Вант-Гоффа, количество соединения, вступившего в фотохимическую реакцию, пропорционально поглощенной энергии света. Из указанных законов получаем следующее уравнение для скорости первичной фотохимической реакции:
В случае если толщина поглощающего слоя велика и ес/ 1, то практически весь свет поглощается и фотохимическая реакция имеет нулевой порядок по реагенту, т.е. скорость реакции определяется только величиной V = const /„ (32)
Таким образом, отличие фотохимических реакций от обычных реакций с термическим возбуждением состоит в том, что их скорость не зависит от концентрации исходного вещества, но определяется только интенсивностью света.
Можно заключить, что в области использованных концентраций ЭДТА (рисунок 7) практически весь свет поглощается растворенным соединением. Это объясняет наблюдаемый нулевой порядок реакции. С течением времени, как мы видим (рисунок 7), наблюдается некоторое отклонение от прямолинейной зависимости в координатах [ЭДТА] - время, что вызвано снижением концентрации ЭДТА и постепенным переходом к реакции первого порядка. При концентрации ЭДТА ниже 3,0-10 моль/л реакция фотохимического разложения уже достаточно хорошо описывается уравнением реакции первого порядка (см. рисунки 9 и 10).
Время, МИН. Рис. 10. Кинетика разложения ЭДТА под действием импульсного УФ-излучения ксеноновои лампы в координатах уравнения реакции первого порядка. Концентрация ЭДТА, г/л: 1 -2,4-10"3; 2 - 3,0-Ю"4.
Возбужденная молекула ЭДТА может дезактивироваться (испустить квант света меньшей частоты, чем частота поглощенного кванта света) в результате флуоресценции или фосфоресценции, а также в результате соударения с другими молекулами среды. Эти процессы не приводят к химическому разложению соединения. Разложение происходит при диссоциации молекулы с образованием радикалов или ионов:
Сравнение данных по фотолизу ЭДТА при использовании УФ-излучения ртутной лампы низкого давления (рисунок 11, кривая 1) и импульсной ксеноновой лампы (кривая 2) показывает, что для ксеноновой лампы процесс деструкции протекает в 10-15 раз эффективнее, чем при применении ртутной лампы. Поэтому, в своих дальнейших исследованиях мы преимущественно использовали ксеноновую лампу в качестве источника УФ-излучения.
Важно отметить, что при прямом воздействии импульсного УФ-излучения ксеноновой лампы на растворы ЭДТА величина рН мало изменяется в процессе разложения (рисунок 12), что свидетельствует об образовании незначительного количества карбоксильных групп. Образование последних связано с наличием в растворе кислорода. Этот факт подтверждается тем, что после продувки раствора ЭДТА аргоном, изменения рН практически не наблюдается (рисунок 12, кривая 2
Было установлено, что воздействие импульсного УФ-излучения ксеноновой лампы заметно интенсифицирует процесс окислительного разложения ЭДТА пероксидом водорода в водных растворах. Сопоставление кривых 2 и 3 на рисунке 11 демонстрирует влияние импульсного излучения сплошного спектра на процесс окислительного разложения ЭДТА пероксидом водорода. Видно, что в присутствии Н202 процесс разложения ЭДТА под воздействием УФ-излучения ускоряется примерно в 4-5 раз. Сравнение разложения ЭДТА в «темновых» условиях и при УФ-воздействии (рисунок 12 и рисунок 11 кривая 3) показывает, что действие высокоинтенсивного импульсного УФ-излучения на систему ЭДТА - Н202 ускоряет процесс разложения более чем в 200 раз.
Разложение ЭДТА в щелочных водных растворах в присутствии пероксида водорода при УФ-воздействии приводит к уменьшению значения рН от 10 до 7-8. Это вызвано глубоким окислением ЭДТА с образованием карбоновых кислот и углекислоты. Разложение ЭДТА в водном растворе в присутствии Н202 под действием УФ-излучения приводит к последовательному образованию промежуточных органических продуктов: иминодиуксусной кислоты, глицинатов, оксаматов, глиоксалатов, оксалатов, формиатов и неорганических продуктов разложения: двуокиси углерода, ионов аммония, нитритов, нитратов и цианатов. Схема, описывающая данную последовательность реакций, приведена на рисунке 14 [108].
Разложение комплекса [Со(П)-ЭДТА] в присутствии Н202. Выделение 60Со
Таким образом, результаты выполненных исследований свидетельствуют о том, что эффективность разложения ЭДТА УФ-излучением низка и определяется интенсивностью светового потока. Скорость разложения комплексона заметно возрастает в присутствии пероксида водорода, что позволяет рассматривать этот способ как весьма перспективный для разложения ЭДТА.
Однако присутствие нитратов, как мы видим, практически полностью подавляет процесс окислительной деструкции ЭДТА вследствие поглощения УФ-излучения нитрат-ионом. Таким образом, высказываемые в последнее время предложения по применению УФ/Н202 процесса для разрушения комплексонов и ПАВ в трапных водах в действительности не имеют под собой реального основания.
УФ/Н202 процесс, таким образом, может быть эффективно использован, главным образом, для очистки сточных вод спецпрачечных, поскольку в них практически отсутствуют нитрат-ионы. Важным при этом является также то, что в УФ/Н202 процессе эффективно разлагаются АПАВ [111Озон является одним из наиболее удобных окислительных агентов. Он имеет высокий окислительный потенциал, разлагается с образованием кислорода, и его применение не приводит к образованию вторичных отходов. Однако, ему присущи и ряд недостатков, основными из которых, являются относительно низкое содержание озона в озоно-кислородной смеси, слабая растворимость в воде и токсичность. Как следствие низкой растворимости озона, скорость окислительного процесса ограничена его концентрацией в растворе. Однако в последние годы разработаны методы, позволяющие производить озон с его концентрацией в озоно-кислородной смеси (ОКС) в 2-3 раза выше, чем обычно, в такое же число раз увеличивая его содержание в воде, что изменило ситуацию в этом вопросе.
В данном разделе работы обсуждаются результаты исследования применения преимущественно «концентрированного» озона (вплоть до 4,17-10" моль/л) для окислительного разложения комплексонов.
Концентрация ЭДТА и рН раствора для проведения исследований были выбраны в соответствии с составами растворов, наиболее часто используемыми для дезактивации оборудования, загрязненного радиоактивными изотопами (см. раздел 1.1, таблицу 1).
На рисунке 31 показана зависимость изменения концентрации ЭДТА от времени озонирования раствора концентрированным озоном (3,4Т0"3 моль/л). Видно, что основная часть ЭДТА (примерно 95 %) разлагается в течение первых 20 мин.
На кривой озонирования можно выделить два участка потребления озона: быстрый, примерно первые 20 мин, и медленный, последующие 20 -40 мин. Быстрый процесс соответствует окислительному разложению основной части ЭДТА (примерно 95%) и первого продукта разложения -иминодиуксусной кислоты, имеющих близкие константы скорости реакции с озоном (3,2Т0 и 2,8-Ю л/моль-с, соответственно [87]). Медленная стадия процесса, скорее всего, соответствует взаимодействию озона с продуктами более глубокого разложения ЭДТА - глиоксалевой кислотой, формальдегидом и, далее со щавелевой и муравьиной кислотами, имеющими существенно более низкие константы скорости реакций, чем для ЭДТА (1,9, 0,1, 0,04 и 100,0 л/моль-с, соответственно [87])
Зависимость изменения рН раствора при озонолизе ([ЭДТА]=2,0-10 моль/л, рН=10,0, расход ОКС 2,0 мл/с, [О3]=3,4-10 моль/л, Т=20С). При этом, еще более отчетливо, чем на озонограмме, проявляется два кинетических участка. На первом (примерно 30 мин. проведения озонолиза) рН уменьшается от 9,9 до 6,8, а на втором (последующие примерно 90 мин.) рН увеличивается до 7,5. Первый участок, как мы уже указывали, наиболее вероятно, связан с окислительным разложением ЭДТА. Снижение рН при этом обусловлено образованием карбоновых кислот - глиоксалевой и далее щавелевой и муравьиной.
Увеличение рН на втором участке вызвано последующим глубоким окислением указанных промежуточных продуктов разложения ЭДТА с образованием нитратов, С02 и Н20.
Количество озона, необходимого на окисление 1 моля ЭДТА составляет 10,5±0,5 моль. Таким образом, озон достаточно экономно окисляет ЭДТА.
Здесь следует отметить, что разложение ЭДТА фиксировалось по его исчезновению. Однако озон расходовался также и на окисление продуктов разложения ЭДТА. Разложением ЭДТА можно считать отрыв (разрушение) одной из ее функциональных групп -NH2 или -СООН в результате взаимодействия с атомом кислорода молекулы озона. При таком подходе и без учета последующих реакций озона с продуктами разложения ЭДТА количество озона на окисление 1 моля ЭДТА могло бы составить всего 1 моль. Из этого можно заключить, что основная часть озона расходуется на глубокое окисление ЭДТА вплоть до нитратов, С02 и Н20. C6H6N2082 +1303 2N03"+6C02+13 02+3H20 (3 6)
Разложение оксалат - ионов в щелочных растворах в присутствии Н2Ог
Из полученных данных видно, что при снижении концентрации оксалат-ионов увеличивается относительная концентрация Н202, требуемая для их разложения (таблица 11).
При отношении [Н202]:[С2042"]=1,1 -3,2:1 (в зависимости от исходной концентрации оксалат-ионов) процесс окислительного разложения проходит полностью. При последующем увеличении отношения [Н202]:[С204"] скорость процесса не увеличивается, несмотря на рост концентрации пероксида водорода (рисунки 52-54). Последнее, приводит к неэффективному использованию окислителя.
Скорее всего (как уже отмечалось выше), это связано с тем, что при повышении концентрации Н202 все большее количество образующихся радикалов "ОН предпочтительно взаимодействуют с Н202 (=4,5-107 л/моль-с), а не с оксалат-ионами.
Интересно отметить тот факт, что согласно стехиометрической реакции окисления оксалат-ионов пероксидом водорода С2042" + Н202 2С02+20Н" (43) оптимальное соотношение [Н202]:[С204 "] (в моль/л) должно быть равно 1, а не [Н202]:[С204 "]—1,1-3,2, как это реально имеет место (см. табл. 9). Это существенное различие вызвано, скорее всего, не только тем, что образующиеся "ОН-радикалы при фотохимическом воздействии расходуются «неэффективно» на разложение Н202. Значительным фактором также является то, что в разложении оксалат-ионов участвуют только те молекулы Н202, при фоторазложении которых образовались ОН-радикалы и которые избежали обратной рекомбинации «в клетке». Часть молекул Н202 распалась по иному механизму, например, с образованием кислорода и поэтому не приняли участия в разложении оксалат-ионов.
Данный раздел посвящен изучению окислительного разложения оксалат-ионов с использованием озона в растворах, соответствующих по своему составу дезактивирующим растворам, наиболее часто используемым при обработке оборудования загрязненного радионуклидами (таблица 1). При проведении работы первостепенное внимание было уделено изучению разложения оксалат-ионов в растворах с рН, характерным для радиохимической практики (кислые и щелочные дезактивирующие растворы, щелочные воды спецпрачечных, кубовые остатки) [8,9].
На рисунке 55 (кривая 1) показана зависимость изменения концентрации оксалат-ионов от времени озонирования щелочного раствора при содержании озона в ОКС равном 3,1 -10"3 моль/л. Видно, что оксалат-ион разлагается озоном на 95 % в течение 150 мин.
На рисунке 55 (кривая 2) приведена озонограмма, фиксирующая концентрацию озона на выходе из реактора от времени. На первом этапе (3-4 мин) (фиксируется по отсутствию озона на выходе) происходит насыщение раствора озоном и далее окислительное разложение оксалат-ионов. Завершение процесса разложения фиксируется по достижению концентрации озона на выходе равной на входе. Из сравнения представленных на графике данных можно видеть, что с окончанием окислительного разложения оксалат-ионов прекращается изменение концентрации озона в растворе.
То есть, в процессе разложения оксалат-ионов озоном практически не образуются промежуточные продукты, на разложение которых потреблялся бы озон и которые, таким образом, тормозили бы процесс окисления оксалат-ионов на завершающей стадии, как это имело место в случае ЭДТА (часть 3.2, пункт 3.2.2).
На рисунке 56 представлены кривые окислительного разложения оксалат-ионов при различных исходных значениях рН раствора. Разложение оксалат-иона озоном([С204 "]=1,1-10" моль/л, расход ОКС 2 мл/с, [О3]=3,3-10 моль/л, Т=50С) при различных исходных значениях рН раствора: 1 -2,0; 2 -7,0; 3 - 10,0; 4-11,3; 5 - 12,6. Можно видеть, что скорость разложения оксалат-ионов увеличивается с ростом рН до рН=10,0, а затем наблюдается уменьшение скорости разложения (при рН=11,3) и резкий спад при рН=12,6.
На основании данных, представленных на рисунке 56, построена кривая зависимости скорости окислительного разложения оксалат-ионов от рН раствора (рисунок 57).
Таким образом, наблюдается экстремум на графике зависимости разложения оксалат-иона от рН с максимумом при рН=10,0. Из данных, представленных на рисунке 57, следует, что скорость разложения оксалат-ионов возрастает с увеличением рН до 10,0, а далее, при рН=12,6 значительно снижается.
Это связано с тем, что при повышении рН активируется процесс образования гидроксильных радикалов в соответствии с реакциями (3-7). Эти радикалы вносят существенный вклад в разложение оксалат-ионов, поскольку скорость их взаимодействия с оксалат - ионами существенно выше (1,0-10 л/моль-с [4]), чем прямое разложение озоном (0,04 л/моль-с). Значительное снижение разложения оксалат-ионов при повышении рН 12 связано с тем, что при этих условиях образуется достаточно устойчивый озонидный анион-радикал: Зависимость разложения оксалат-ионов в щелочной среде от времени озонолиза при различных температурах представлена на рисунке 58. Видно, что с увеличением температуры вплоть до 50 С происходит заметное возрастание скорости разложения. Однако при более высокой температуре обнаруживается, напротив, снижение скорости процесса разложения. Можно видеть, что при оптимальной температуре (50С) скорость окислительного разложения оксалат-ионов озоном возрастает более чем в 5 раз в сравнении с процессом при 20С.






















