Содержание к диссертации
Введение
1. Методы и устройства коррекции динамических характеристик инерционных первичных измерительных преобразователей 11
1.1 .Методы повышения динамических свойств термоконвективных расходомеров 11
1.2. Особенности коррекции динамики преобразователей температуры и термоконвективных расходомеров 16
1.3.Методы, устройства и перспективы развития адаптивной динамической коррекции инерционных преобразователей 24
2. Принципы построения термоконвективных расходомеров с динамической коррекцией 45
2.1.Структуры термоконвективного расходомера с адаптивным динамическим корректором 45
2.2. Математическое моделирование преобразователя термоконвективного расходомера и корректирующего устройства 53
2.3.Разработка алгоритмического обеспечения для исследования системы "преобразователь термоконвективного расходомера - динамический корректор" 57
2.4.Исследование модели системы "преобразователь термоконвективного расходомера - динамический корректор с постоянными параметрами" 67
2.5.Исследование модели системы "преобразователь # термоконвективного расходомера - адаптивный динамический корректор" 83
2.5.1. Адаптация по выходному сигналу преобразователя 84
2.5.2. Адаптация по выходному сигналу системы 89
2.5.3. Сравнение методов адаптации по выходному сигналу преобразователя и выходному сигналу системы 97
2.5.4. Адаптация по темпу изменения выходного сигнала преобразователя 99
2.6.Систематизация источников погрешностей, влияющих на эффективность процесса коррекции 107
3. Экспериментальные исследования физической модели термоконвективного расходомера 112
3.1. Задачи исследования. Экспериментальная установка 112
3.2. Исследование статических и динамических свойств первичных измерительных преобразователей 119
3.3.Исследование термоконвективных расходомеров с адаптивной динамической коррекцией 126
3.3.1. Адаптация по выходному сигналу системы 128
3.3.2. Адаптация по темпу изменения выходного сигнала преобразователя 142
3.3.3. Методика параметрического синтеза термоконвективных расходомеров с адаптивной динамической коррекцией 154
4. Разработка и применение термоконвективных расходомеров с адаптивной динамической коррекцией 159
4.1. Аппаратурное исполнение термоконвективного расходомера с адаптивным динамическим корректором 159
4.2. Алгоритм функционирования термоконвективного расходомера с адаптивным динамическим корректором и результаты его применения 165
Заключение 175
Библиографический список использованной
Литературы 177
Приложения 184
- Особенности коррекции динамики преобразователей температуры и термоконвективных расходомеров
- Математическое моделирование преобразователя термоконвективного расходомера и корректирующего устройства
- Исследование статических и динамических свойств первичных измерительных преобразователей
- Алгоритм функционирования термоконвективного расходомера с адаптивным динамическим корректором и результаты его применения
Введение к работе
Возможности и уровень автоматизации любого производства, в том числе и химического, зависят от экономической целесообразности, структуры технологического процесса, а также наличия соответствующей аппаратуры, в частности средств контроля и регулирования определяющих параметров. В подавляющем большинстве технологических процессов, где транспортируются какие-либо среды, номенклатура которых постоянно расширяется, возникает необходимость измерения или регулирования расхода или количества.
В этих условиях несомненную важность и значение преобретают работы по совершенствованию старых и разработке новых методов измерения расхода. Характерной особенностью современной техники измерения расходов и количеств является широкое разнообразие применяемых методов и средств. Одним из таких методов является безконтактный тепловой метод измерения. Этот метод дает возможность контроля и измерения расходов жидких металлов, расплавов различных веществ, расхода компонентов в условиях высоких давлений и температур, микрорасходов жидкостей и газов, агрессивных и абразивных пульп и т.п. Одной из основных разновидностей расходомеров, основанных на этом методе, являются термоконвективные, в которых процесс передачи теплоты через стенку преобразователя осуществляется путем теплопроводности и конвекции.
Интенсификация технологических процессов и тенденции к повышению уровня автоматизации обуславливают требования существенного улучшения динамических характеристик средств измерения, в том числе и весьма инерционных термоконвективных расходомеров.
Уменьшить инерционность термоконвективных расходомеров можно несколькими способами, в частности широко применяемым методом электрической коррекции динамических характеристик. Применительно к
термоконвективным расходомерам, динамические свойства которых зависят от входной величины (расхода), этот метод был недостаточно эффективен при его реализации на аналоговой технике. Когда возможности аналоговой техники по решению этого вопроса были исчерпаны, развитие этого направления улучшения динамических характеристик термоконвективных расходомеров было практически приостановлено.
В настоящее время в связи с распространением вычислительной техники, обладающей качественно новыми функциональными возможностями, реализация этого метода становится весьма перспективной.
Диссертационная работа выполнялась в соответствии с гос./бюдж. НИР "Разработка методологических основ и создание многофункциональных технических средств автоматизации, алгоритмического обеспечения и диагностики в распределенных АСУТП и ГАЛС" (per.N%01910048387).
Целью настоящего исследования является разработка принципов построения термоконвективных расходомеров с адаптивной динамической коррекцией, создание методов адаптации, исследование и оценка эффективности предложенного метода повышения быстродействия.
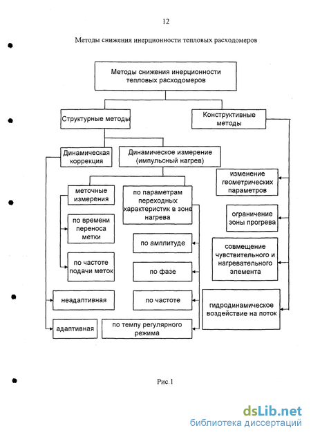
В первой главе проведен анализ существующих методов и устройств снижения инерционности тепловых расходомеров. Из рассмотренных методов предпочтение отдано структурным методам, поскольку применение конструктивных весьма ограничено в следствии усложнения, либо уменьшения прочности преобразователя расходомера. Методы динамического измерения, относящиеся к структурным, не имеют выше перечисленных недостатков, но одни - измеряющие параметры переходной характеристики в зоне активного нагрева - недостаточно эффективны вследствие узкого диапазона измерения, а другие, в частности меточные, ограничены конструктивными параметрами (диаметром условного прохода). Рассматриваемые в данной работе методы динамической коррекции не имеют этих ограничений и недостатков. В п. 1.2 приведены теоретические основы метода динамической коррекции и ряд особенностей динамических
свойств термоконвективных расходомеров, которые осложняют реализацию этого перспективного метода, приводя к необходимости создания адаптивных динамических корректоров. Проанализировав существующие методы и устройства адаптивной динамической коррекции инерционных преобразователей сделано обоснованное заключение об актуальности создания адаптивного динамического корректора на базе микропроцессорной техники для повышения динамической точности термоконвевктивных расходомеров.
Во второй главе данной работы предложены структуры системы "преобразователь термоконвективного расходомера - динамический корректор", реализующие различные методы адаптации параметра корректора: по выходному сигналу преобразователя и по выходному сигналу системы; созданы математические модели преобразователя термоконвективного расходомера и динамического корректора. Приведено разработанное алгоритмическое обеспечение для математического моделирования расходомера с улученными динамическими свойствами и представлены результаты теоретического исследования возможностей динамического корректора с постоянными параметрами при работе с термоконвективным расходомером, свидетельствующие о весьма ограниченной эффективности такой системы для узких диапазонов изменения расхода и о необходимости адаптивной динамической коррекции.
Предложено 3 метода адаптации параметра корректора к динамическим свойствам преобразователя термоконвективного расходомера: 1. адаптация по выходному сигналу преобразователя; 2.адаптация по выходному сигналу системы; 3.адаптация по темпу изменения выходного сигнала преобразователя.
Для дальнейшего исследования были выбраны второй и третий методы, Так как при применении метода адаптации по темпу изменения выходного сигнала преобразователя необходимо обладать минимальным объемом априорной информации о свойствах и метрологических характеристиках
преобразователя. По итогам сравнения первых двух методов адаптации сделан вывод о преимуществе второго метода, поскольку при прочих равных условиях время адаптации параметра динамического корректора на порядок меньше, что в конечном итоге скажется и на быстродействии расходомера в целом. В п.2.6. приводятся результаты исследования, полученные при математическом моделировании преобразователя термоконвективного расходомера с динамическми корректором при различных методах адаптации. На основании этих исследований систематизированы факторы, влияющие на погрешность термоконвективных расходомеров с адаптивной динамической коррекцией.
Третья глава данной работы посвящена экспериментальным исследованиям физической модели термоконвективного расходомера. Сформулированы задачи исследования и предложена методика планируемого эксперимента. Проведена идентификация свойств физической модели первичного измерительного преобразователя термоконвективного расходомера. На основании результатов теоретических исследования (гл.2) и экспериментально полученных статической и динамической характеристик преобразователя расходомера проведена серия экспериментов для количественной оценки эффективности работы термоконвективного расходомера с адаптивным динамическим корректором. Достоверность полученных результатов подтверждена соответствием экспериментальных и теоретических исследований.
Четвертая глава завершает диссертацию и посвящена практическим вопросам разработки термоконвективных расходомеров с адаптивным динамическим корректором, реализованным на базе ПЭВМ. Представлен состав аппаратурного исполнения расходомера. Для разработанной серии термоконвективных расходомеров с диаметрами условного прохода 2,6,10 и 20 мм проведен параметрический синтез адаптивных микропроцессорных динамических корректоров. Предложен алгоритм функционирования таких расходомеров, в которых адаптация осуществляется по совмещенному
методу, объединяющему способы адаптации по выходному сигналу системы и по темпу изменения выходного сигнала преобразователя расходомера. Техническая документация по разработке термоконвективных расходомеров с улучшенными динамическими свойствами передана РНЦ "Прикладная химия" для их реализации и применения на опытных технологических установках.
По теме диссертации опубликовано 8 печатных работ.
На защиту выносятся: 1. Структуры и математические модели термоконвективного расходомера с динамической коррекцией.
2.Методы адаптации параметров корректора к динамическим свойствам первичного измерительного преобразователя термоконвективного расходомера.
3.Результаты математического моделирования термоконвективных расходомеров с адаптивной динамической коррекцией.
4.Систематизация источников погрешностей, влияющих на эффективность коррекции.
5.Результаты экспериментальных исследований, методика параметрического синтеза и алгоритм функционирования термоконвективного расходомера с адаптивной динамической коррекцией.
Особенности коррекции динамики преобразователей температуры и термоконвективных расходомеров
Наличие инерционности у первичных измерительных преобразователей (ПИП) является основным препятствием, ограничивающим применение этих преобразователей для измерения быстроменяющихся величин. В настоящее время существует ряд способов улучшения динамических характеристик первичных измерительных преобразователей. Одним из таких способов является динамическая коррекция [26-33]. Динамическая коррекция - это мероприятие по улучшению динамических характеристик технических систем и элементов систем. Широкое распространение получила коррекция в системах автоматического регулирования, применяемая с целью обеспечения устойчивости и улучшения показателей переходного процесса системы [34]. В системах автоматического регулирования, как правило, наиболее инерционными элементами являются или объекты регулирования или первичные измерительные преобразователи. Этим и объясняется значительный интерес исследователей к вопросу компенсации динамической погрешности инерционных преобразователей. В отличие от требований, предъявляемых к качеству процесса коррекции в области автоматического регулирования, где введение коррекции может сопровождаться изменением формы переходной характеристики системы, в результате чего может обнаружиться целый ряд нежелательных с точки зрения процесса измерения явлений (возникновение автоколебаний, выбросы и т.п.), причем точный учет вносимых искажений в ряде случаев крайне сложен. Теоретическим вопросам коррекции динамики инерционных преобразователей посвящен весьма широкий круг работ [35 38], поэтому мы остановимся только на сути и некоторых подходах к этому процессу. Например, обычно при коррекции динамических характеристик инерционных преобразователей ставится задача сохранения вида переходной характеристики системы "преобразователь - корректирующее устройство "[З 5]. То есть, чтобы избежать возникновения в процессе коррекции дополнительных не поддающихся или трудно поддающихся расчету погрешностей измерения, поведение системы инерционный "преобразователь - корректирующая цепь" должно быть аналогично поведению некоторого "малоинерционного" преобразователя в тех же условиях измерения. Причем, соответствующим выбором параметров корректирующего устройства, степень уменьшения инерции действительного преобразователя выбирается таковой, чтобы динамическая погрешность измерения была доведена до допустимой величины. Таким образом, задача сводится к получению переходной характеристики системы аналогичной переходной характеристике некоего нового преобразователя с уменьшенной в Кк раз постоянной времени. Другими словами, в случае экспоненциальной формы переходной функции преобразователя ей должна соответствовать экспоненциальная форма переходной функции системы "преобразователь -корректирующая цепь", т.е. если переходная функция преобразователя имеет вид:где Тп/Кк - эффективная постоянная времени системы "преобразователь -корректирующая цепь".
Несколько другой подход к вопросу коррекции динамических характеристик инерционных преобразователей предложен Д.Хофманом [36], который утверждает, что требование равенства постоянных времени преобразователя Тп и корректирующей цепи Тк, а также сохранение вида передаточной функции (переходной характеристики) при коррекции не обосновано. Поскольку не важен характер переходного процесса, а важно время, через которое переходный процесс придет к установившемуся режиму с заданной погрешностью. Выбор Тп Тк ведет к уменьшению времени переходного процесса (с заданной погрешностью) по сравнению со случаем Тп = Тк. При этом характер передаточной функции и, соответственно, переходной характеристики системы (преобразователя) не сохраняется.
Задача искусственного уменьшения постоянной времени преобразователя может быть решена путем включения последовательно с ним корректирующего устройства с передаточной функцией видаКк - коэффициент, показывающий, во сколько раз уменьшаетсяпостоянная времени преобразователя (коэффициент коррекции) [39]. В этом случае, если передаточная функция преобразователя описывается уравнением апериодического звена первого порядка, передаточная функция системы "преобразователь - корректирующее звено" будет иметь
Математическое моделирование преобразователя термоконвективного расходомера и корректирующего устройства
Для того чтобы провести исследования работы предложенных структур термоконвективных расходомеров с динамическими корректорами необходимо разработать математические модели теплового расходомера и динамического корректирующего устройства. При моделировании использовались передаточные функции преобразователя термоконвективного расходомера (21) и динамического корректора (22).
Использование в системе последовательной коррекции (рис.9-11) динамического корректора, реализованного на ЭВМ, превращает систему в дискретную, в которой все величины, характеризующие ее состояние, рассматриваются в дискретные моменты времени x=kt, где к - целое число, t-период дискретности (период квантования по времени). При достаточно малом периоде квантования по времени t свойства дискретной системы тождественны свойствам непрерывной. Определение значений t, при котором дискретная система переходит в непрерывную, основано на использовании теоремы Котельникова - Шенона, которая утверждает, что если амплитудно-частотную характеристику непрерывной разомкнутой системы можно ограничить частотой сос, считая, что вне этого интервала характеристика равна нулю, то такую систему можно заменить дискретной с периодом квантования по временигде сос - частота среза, определяющая полосу пропускания непрерывного сигнала. На практике для системы автоматического регулирования часто бывает достаточным выбрать величину t из условия t 0.1 Т0б, где Т0б -постоянная времени объекта регулирования [59,60].
Принципиальное отличие дискретной системы от непрерывной (наличие квантования по времени) не позволяет для описания ее динамических свойств воспользоваться дифференциальными уравнениями, связывающими входные (X) и выходные (Y) величины, поскольку онипредставляют собой числовые последовательности. Такиепоследовательности получили название решетчатых функций.
Дискретная система характеризуется в динамике разностным уравнением, устанавливающим связь между двумя дискретными функциями врекуррентной форме. Для получения разностного уравнения достаточно любую функцию, зависящую от другой дискретной функции, представить в рекуррентной форме. В тех случаях, когда дискретной системе можно поставить в соответствие аналоговую, обладающую одинаковыми характеристиками, то для нахождения вида разностного уравнения, описывающего динамические свойства дискретной системы, можно применить метод z-преобразований [61,62].
Этот метод в дискретной области выполняет роль, подобную р-преобразованию Лапласа в аналоговой области. Суть z-преобразования заключается в том, что к дискретной функции применяют дискретное преобразование Лапласагде Y (р) - изображение дискретной функции от р. Подставив в дискретное преобразование Лапласа Z = Єрх получаем z -преобразование дискретной функции Y(kt):где Y(z) - изображение дискретной функции от z.
Дискретной передаточной функцией является отношение z-преобразования выходной дискретной функции Y(kt) к z -преобразованию входной дискретной функции X(kt):
В том случае, если известен вид передаточной функции непрерывной системы W(p), то нахождение дискретной передаточной функции W(z) дискретной системы, обладающей такими же характеристиками как и непрерывная, сводится к следующим подстановкам:Зная W(z) можно найти изображение дискретной функции Y(z):Последнее выражение можно записать в виде:При переходе к оригиналам с учетом теории смещения по времени: (переменная z"1 символически изображает временной сдвиг на период дискретизации) получим:
Это выражение представляет собой разностное уравнение, связывающее две дискретные функции Y(kt) и X(kt).[60]
Для реализации на ЭВМ системы "преобразователь теплового расходомера - динамический корректор", используя все сказанное выше, выведены разностные уравнения для получения математических моделей теплового расходомера и динамического корректора. Несмотря на различия в структурах математические модели для разных методов адаптации идентичны, поскольку определяются только видом передаточных функций преобразователя и динамического корректирующего устройства.
Однако, необходимо учесть, что в уравнениях математических моделей, выведенных для использования на ЭВМ, постоянные времени необходимо представлять в безразмерном виде [63,64], то есть все временные
Исследование статических и динамических свойств первичных измерительных преобразователей
Исходя из того, что при реализации процесса коррекции динамических характеристик первичных измерительных преобразователей термоконвективных расходомеров возникает необходимость знания априорной информации о метрологических характеристиках этих преобразователей, основной задачей этого этапа исследований являлось нахождение статической и динамической характеристик первичного измерительного преобразователя термоконвективного расходомера и определение на их основе аппроксимационной зависимости постоянной времени преобразователя от величины выходного сигнала ПИП. На данной установке предусмотрена возможность снятия статических и динамических характеристик двумя способами: - по месту, с использованием регистрирующего прибора; - с применением ПЭВМ "КОМПАН". Статические характеристики снимались следующим образом: 1. При нажатии кнопки SB1 включается центробежный насос. 2. Вентилем В2 устанавливается необходимое значение расхода, визуально контролируемое по шкале ротаметра. 3. Значение выходного сигнала термоконвективного расходомера либо регистрируется вторичным прибором по месту, либо, в случае подключения ПЭВМ, это значение через блок устройства связи с объектом фиксировалось на мониторе. Полученная статическая характеристика термоконвективного расходомера приведена в таблице 2, а ее графическая иллюстрация - на рис.60. Статическая характеристика снималась при подаче на нагреватель постоянной мощности, определяемой UH=27B и 1н=0.45А. Эксперименты по снятию статической характеристики были проведены на рассмотренном выше исследовательском стенде, с учетом обычной методики получения таких характеристик. При снятии динамических характеристик процесс подготовки измерительной системы к работе аналогичен процессу подготовки для получения статических характеристик (см.выше 1-2). Дальнейшие действия: 3. Необходимое для исследования динамики ступенчатое возмущение наносилось с помощью электромагнитного клапана (поз.6-1). 4. Постоянные времени, соответствующие конечным значениям возмущений по расходу, определялись с помощью разработанного программного обеспечения. 5. По месту постоянные времени, соответствующие конечным значениям возмущений по расходу, определялись в той же последовательности, но к выходу преобразователя подключался прибор типа КСП4 (поз.3-3). Зависимость динамических свойств первичного измерительного преобразователя термоконвективного расходомера от расхода приведена в таблице 3 и на рис.61.
Все результаты измерений обрабатывались по ГОСТ 8.20 -76 "Прямые измерения с многократными наблюдениями. Методы обработки результатов наблюдений".
В качестве обобщения проведенных экспериментов предложена аппроксимационная зависимость Tn=f(Xm), где Хгл - значение усиленного выходного сигнала преобразователя. Аппроксимационная зависимость представлена на рис.62 и является полином 2-го порядка:
В дальнейшем при настройке постоянной времени корректора для адаптации по выходному сигналу системы будет применятся эта зависимость. От того насколько (35) близка к истине будет зависеть точность определения значения расхода при применении термоконвективного расходомера с адаптивным динамическим корректором, в котором значение настроечного параметра - постоянной времени корректора, рассчитывается по выходному сигналу системы.
На основе анализа теоретических исследований работы модели термоконвективного расходомера с предложенными структурами адаптивных динамических корректоров можно сделать вывод, что несмотря на наличие ряда факторов, влияющих на погрешность тепловых расходомеров с адаптивными динамическими корректорами, быстродействие их значительно выше, чем систем без коррекции (гл.2). Для того, чтобы окончательно убедиться в истиности предложенной теории необходимо провести исследования работы физической модели теплового расходомера с адаптивными динамическими корректорами, реализованными на ПЭВМ "КОМПАН". Исходная информация о термоконвективном расходомере, которая должна быть известна заранее, была получена при исследовании метрологических характеристик данного расходомера (п.3.2.). Необходимо отметить, что надо располагать подобной информацией для каждого конкретного теплового расходомера, определяя ее экспериментально или теоретически (гл.4). Алгоритм проведения исследований физической модели термоконвективного расходомера аналогичен алгоритму проведения теоретических исследований, но все же имеются некоторые расхождения, которые объясняются отличием способа получении массива данных. В случае теоретических исследований - массив данных рассчитывается по математической модели, а при экспериментальных исследованиях - массив данных, представляет собой мгновенные значения выходного сигнала физической модели ПИП термоконвективного расходомера. На основании этого алгоритма было разработано программное обеспечения на языке TURBO PASCAL, которое использовалось в дальнейшем.
Представление информации о результатах проведенного эксперимента будет несколько отличным от формы представления информации, использованной выше (п.2.4,2.5), и представляет собой анализируемые
Алгоритм функционирования термоконвективного расходомера с адаптивным динамическим корректором и результаты его применения
Полученные результаты как теоретических, так и экспериментальных исследований, обосновано показали, что предложенные структуры и методы адаптивной динамической коррекции могут быть использованы для реализации термоконвективного расходомера с адаптивной динамической коррекцией, при чем алгоритм работы корректора должен быть основан на двух рассмотренных выше методах самонастройки. Этот алгоритм позволит использовать достоинства каждого из методов, в зависимости от формы возмущающего воздействия по расходу. Так при ступенчатом возмущении, когда возможно определить значение темпа изменения выходного сигнала преобразователя, целесообразно реализовать метод самонастройки по этому значению. Если же возмущение имеет другую форму, то адаптация постоянной времени корректирующего устройства производится с помощью метода самонастройки по выходному сигналу системы.
На основании этого предложения был разработан алгоритм функционирования теплового расходомера с адаптивной динамической коррекцией. Блок - схема данного алгоритма приведена на рис.85.
После однократного ввода необходимых данных и оформления экрана монитора (вывод на экран осей для наглядного представления полученных данных о расходе и окон для вывода числовых значений расхода), осуществляется получение массива данных равного объему выборки, необходимых для фильтрации. Получение массива данных происходит по предложенному ранее на рис.14 алгоритму. Таким образом, перед началом работы основной части алгоритма определяется первое текущее отфильтрованное значение сигнала о расходе. Далее по мере получения элементов массива данных путем опроса АЦП на каждом шаге: сигнал
Блок-схема алгоритма функционирования термоконвективного расходомерас динамическим корректоромфильтруется (блок - схема алгоритма фильтрации представлена на рис.15). Затем происходит вычисление постоянной времени корректора с использованием предложенного в данном разделе совмещенного алгоритма адаптации, блок - схема которого представлена на рис.86. Затем вычисляется скорректированное значение сигнала на данном шаге по полученной ранее математической модели корректирующего устройства и осуществляется вывод на экран результатов для данного шага. Данные на экране монитора представлены двумя способами (рис.87-91): графическое преставление -текущие мгновенные значения сигнала на выходе термоконвективного расходомера (ТР) и скорректированного сигнала на выходе системы "теплового расходомер - адаптивный динамический корректор" (ТРсК) выводятся на экран как точки в реальном масштабе времени; цифровое представление - эти же значения выводятся в окне экрана в цифровом виде. Работа этого алгоритма происходит в цикле, прервать который можно, нажав клавишу "Q" на клавиатуре компьютера, поскольку в алгоритм заложена возможность остановки функционирования. В противном случае информация об измеряемом расходе будет непрерывно выводится на экран монитора. Программное обеспечение для алгоритма функционирования написано на языке TURBO PASCAL, отладка программы осуществлялась в интегрированной среде Turbo Pascal ver.7.0. Программное обеспечение предназначено для работы на компьютере совместимом с IBM AT в комплекте с АЦП типа СЭТ-1. Разработанный программный продукт приведен в приложении 6.
С помощью приведенного аппаратурного и программного обеспечения возможно получение и представления информации о величине расхода, преобразованного термоконвективным расходомером, при чем быстродействие этих расходомеров повышено в 7-9 раз. На рис.87 -91 приведены примеры работы термоконвективного расходомера с адаптивным динамическим корректором.
Также следует отметить, что хотя исследования проводились только при ступенчатом изменении расхода, но при функционировании рабочего алгоритма независимо от формы наносимого возмущения, наблюдается увеличение быстродействия работы термоконвективного расходомера с адаптивным корректором (рис.90, 91).1.С учетом анализа современного состояния в области снижения инерционности преобразователей методами электрической коррекции, особенностей динамики бесконтактных термоконвективных расходомеров и расширенного применения микропроцессорной техники, предложены структуры термоконвективного расходомера с адаптивным динамическим корректором и методы адаптации: по мгновенному выходному сигналу системы и по темпу изменения выходного сигнала преобразователя расходомера.2.Разработаны математические модели ПИП термоконвективного расходомера и динамического корректора для их реализации на ЭВМ . Предложены 2 варианта алгоритма исследования, обеспечивающие моделирование скорректированной системы в целом или во втором случае -только адаптивного динамического корректора, функционирующего в комплекте с физической моделью преобразователя расходомера. 3.Результаты проведенных теоретических исследований работы адаптивного динамического корректора для предложенных методов адаптации при широком диапазоне изменения исходных параметров обобщены и представлены в виде номограмм.4.На основании выводов, сделанных по результатам исследований были систематизированы факторы, влияющие на погрешность термоконвективных расходомеров с адаптивными динамическими корректорами, которые в совокупности с разработанными, указанными выше, номограммами являются основными составляющими методики параметрического синтеза. 5. Сформулированы задачи исследования, экспериментально определены статическая характеристика (СКО 1% ), зависимость постоянной времени ПИП от расхода (СКО 8% ) и получена аппроксимационная зависимость для адаптации постоянной времени корректора к постоянной временипреобразователя. Погрешность аппроксимации этой зависимости не превышает 7 %.6.Экспериментальные исследования выявили наличие корреляции влияния представленных в изложенной систематизации факторов, влияющих на погрешность (рис.57), что и сказалось на результатах сходимости теории и эксперимента. Расхождение составляет: 20-23% - для адаптации по выходному сигналу преобразователя и 12-15% - для адаптации по темпу его изменения.7.Разработана методика параметрического синтеза адаптивного динамического корректора, позволяющая определить значения факторов, влияющих на динамическую погрешность, при которых достигается максимальное увеличение быстродействия термоконвективного расходомера. С позиции эффективности коррекции по результатам эксперимента для исследуемого расходомера были рекомендованы следующие значения исследуемых факторов Кк=10-ь20; vib=30; t=0.3c; dp=2.5%; крк=1. 8.Предложено аппаратурное исполнение термоконвективного расходомера с адаптивной динамической коррекцией, алгоритм его функционирования, построенный по совмещенному методу адаптации, и приводятся примеры применения разработанной системы (Кэ=7-9). Основные результаты диссертационной работы переданы РНЦ "Прикладная химия" для применения разработанных динамических корректоров, реализованных на ПЭВМ, в комплекте с тепловыми расходомерами типа РТНК на опытных и опытно-промышленных установках.























