Содержание к диссертации
Введение.
Глава I. Устойчивость и ветвление положений равновесия маятника с эллипсоидальной полостью, частично заполненной жидкостью.
-
Постановка задачи.
-
Вычисление потенциальной энергии.
-
Положения равновесия.
-
Устойчивость тривиальных положений равновесия.
-
Косые положения равновесия.
-
Устойчивость косых положений равновесия.
-
Бифуркационные диаграммы.
-
Устойчивость тривиального положения равновесия в зависимости от степени заполнения полости.
Глава II. Устойчивость и ветвление положений равновесия маятника с цилиндрической полостью, содержащей жидкость.
-
-
Постановка задачи.
-
Устойчивость и ветвление положений равновесия в случае заполнения полости менее, чем наполовину.
-
Устойчивость и ветвление положений равновесия в случае заполнения полости более, чем наполовину.
4. Бифуркационные диаграммы.
Глава III. Устойчивость и ветвление положений равновесия эллиптического цилиндра, частично заполненного жидкостью, упруго связанного с горизонтальной опорой.
-
-
-
Постановка задачи.
-
Вычисление потенциальной энергии.
-
Положения равновесия.
-
Устойчивость тривиального положения равновесия.
-
Косые положения равновесия.
-
Устойчивость косых положений равновесия.
-
Бифуркационные диаграммы.
Глава IV. Устойчивость и ветвление положений равновесия эллипсоида с полостью, частично заполненной жидкостью.
-
-
-
-
Постановка задачи.
-
Вычисление потенциальной энергии.
-
Положения равновесия.
-
Устойчивость тривиального положения равновесия.
-
Косые положения равновесия.
-
Устойчивость косых положений равновесия.
-
Бифуркационные диаграммы.
Литература.
Введение к работе
Динамика тел с полостями, частично заполненными жидкостью, представляет собой один из наиболее интересных и трудных разделов теоретической механики. Интерес к задачам динамики тел с жидким наполнением (см. [1-4, 12-28, 30, 31]) обусловлен их многочисленными приложениями в различных областях науки и техники. Основная трудность при анализе таких задач состоит в том, что свободная поверхность жидкости заранее неизвестна и ее нужно определять в процессе решения задачи. Фундаментальные результаты в динамике тел с жидким наполнением принадлежат В.В.Румянцеву. В частности, В.В. Румянцев [16] (см. также [17, 27]) разработал общую теорию анализа абсолютных и относительных положений равновесия, а также стационарных движений твердых тел с полостями, частично заполненными жидкостью. В случае задачи отыскания положений равновесия твердых тел с жидким наполнением и исследования их устойчивости в однородном поле тяжести при отсутствии поверхностного натяжения жидкости можно, согласно общей теории [16, 17, 27], заранее считать, что свободная поверхность жидкости горизонтальна (предполагается, что вертикальное направление связано с направлением силы тяжести). Этот замечательный результат помогает легко изучить те или иные отдельные положения равновесия тела с жидким наполнением. При изучении задачи об отыскании всех положений равновесия и исследовании их устойчивости и ветвления необходимо вычислять потенциальную энергию системы «тело + жидкость» при произвольной ориентации тела. Этот аспект задачи тоже нетривиален даже в предположении, что при любой ориентации тела свободная поверхность жидкости горизонтальна. Дело в том, что область, занятая жидкостью, существенно зависит от ориентации тела, т.е. меняет свою форму при переходе через некоторые критические положения тела. Другими словами, в различных областях конфигурационного пространства, определяющего ориентацию тела, области, занятые жидкостью, топологически различны, и, следовательно, различны выражения для потенциальной энергии жидкости.
Таким образом, для определения всех положений равновесия тела, частично заполненного жидкостью, и исследования их устойчивости и ветвления необходимо использовать различные выражения для потенциальной энергии жидкости в различных областях конфигурационного пространства, определяющего ориентацию тела. Вследствие этого, в различных областях конфигурационного пространства положения равновесия определяются различными формулами, и при построении атласа бифуркационных диаграмм необходимо состыковывать соответствующие равновесные ориентации. В диссертации эта проблема решается для четырех различных задач динамики твердого тела с полостью, частично заполненной идеальной несжимаемой жидкостью, не имеющей поверхностного натяжения. Методы исследования этих задач основаны на общей теории устойчивости и бифуркации [5-9, 18, 29, 32, 33] и теории динамики тел с жидким наполнением [16, 17, 27].
Диссертация состоит из введения, четырех глав и списка литературы.
Во введении обоснована актуальность темы, дан краткий исторический обзор и приведено реферативное изложение содержания диссертации.
В первой главе рассматривается маятник с эллипсоидальной полостью, частично заполненной идеальной несжимаемой жидкостью. В соответствии с общей теорией движения маятников с жидкостью, для отыскания положений равновесия и исследования их устойчивости можно считать, что свободная поверхность жидкости всегда горизонтальна. При этом условии вычислена потенциальная энергия системы. Положениями равновесия, маятника отвечают критические точки потенциальной энергии. Найдены все положения равновесия, с помощью анализа второй вариации потенциальной энергии получены условия их устойчивости. Отдельно исследован вопрос об условиях устойчивости тривиального положения равновесия в зависимости от степени заполнения полости жидкостю и отношения масс жидкости и тела. Анализ показывает, что при определенных условиях всегда можно подобрать такое соотношение масс жидкости и оболочки, что тривиальное положение равновесия будет неустойчивым. Все полученные результаты представлены в виде бифуркационных диаграмм.
Во второй главе рассматривается маятник с цилиндрической полостью, частично заполненной идеальной несжимаемой жидкостью. В данной задаче вычисление потенциальной энергии уже не является тривиальным. Рассматриваются два случая заполнения полости: полость заполнена менее, чем наполовину; полость заполнена более, чем наполовину.
В каждом из этих случаев при условии, что поверхность жидкости всегда горизонтальна, вычислениа потенциальная энергия в зависимости от угла ? наклона маятника. Положениям равновесия отвечают критические точки потенциальной энергии. Найдены все положения равновесия и получены условия их устойчивости. Все полученные результаты предствлены в виде бифуркационных диаграмм.
В третьей главе рассматривается эллиптический цилиндр, упруго связанный с горизонтальной опорой с помощью пружинных рессор. Полость тела частично заполнена идеальной несжимаемой жидкостью. При условии, что свободная поверхность жидкости всегда горизонтальна, вычисленна потенциальная энергия. Положениям равновесия отвечают критические точки потенциальной энергии. Найдены положения равновесия системы и получены условия их устойчивости. Все полученные результаты представлены в виде бифуркационных диаграмм.
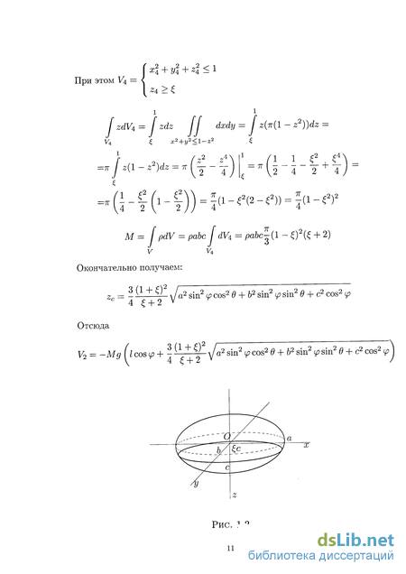
В четвертой главе рассматривается трехосный эллипсоид с эллипсоидальной полостью на горизонтальной плоскости (предполагается, что эти элипсоиды соосны). Полость частично заполнена идеальной несжимаемой жидкостью. При условии, что свободная поверхность жидкости всегда горизонтальна, вычислена потенциальная энергия системы. Положениям равновесия маятника отвечают критические точки потенциальной энергии. Найдены все положения, с помощью анализа второй вариации потенциальной энергии получены условия их устойчивости. Все полученные результаты представлены в виде бифуркационных диаграмм.
Похожие диссертации на Устойчивость и бифуркация положений равновесия твердых тел с полостями, содержащими жидкость
-
-
-
-
-
-
























