Содержание к диссертации
Введение
Глава 1. Общие теоремы о сходимости конечномерных распределений марковских процессов в случайной среде 10
I. Марковские процессы в независимой от процесса случайной среде 10
1.1. Определения 10
1.2. Сходимость конечномерных распределений 13
1.3. Сходимость вероятностей переходов с запрещениями 24
1.4. Пример26
2. Марковские процессы в случайном-'среде, зависящей от состояния процесса 28
1.1. Определения 28
1.2. Сходимость конечномерных распределений 32
1.3. Сходиглость вероятностей переходов с запрещениями 47
1.4. Примеры 49
Глава 2. Конечные цепи Маркова в случайной среде 54
I. Определения 54
2. Вложенные цепи Маркова 60
3. Сходимость распределений числа непоявившихся состояний 76
Глава 3. Процессы рождения и гибели в случайной среде . 97
1. Распределение числа частиц ветвящегося процесса рождения и гибели 97
2. Распределение момента первого выхода в запрещенное состояние 112
Литература
- Сходимость конечномерных распределений
- Марковские процессы в случайном-'среде, зависящей от состояния процесса
- Вложенные цепи Маркова
- Распределение момента первого выхода в запрещенное состояние
Введение к работе
В последнее время большое внимание уделяется исследованию процессов, получающихся из классических процессов заменой постоянных параметров функциями, заданными на траекториях случайных процессов, описывающих поведение среды. Необходимость исследования этих процессов возникает в таких тесно связанных с прикладными задачами областях теоріш вероятностей, как: теория массового обслуживания и теория надежности (см. [_5] , j_I5J ), вероятностные автоматы [21] , [_3J , ветвящиеся процессы fill, [20] и др.
Случайные процессы в случайной среде удобно рассматривать, как двумерные процессы ( %(ч ,9^ч » в которых изменение среды описывается, например, первой координатой. В задачах теории надежности процессом (с) может быть, например, режим функционирования системы, а процессом П (ту ~ процесс, определяющий надежность системы. Ветвящимся процессом в случайной среде называют процесс ( 5(1) , ?(w) , в котором o(i) при фиксированной траектории (v является обычным неоднородным ветвящимся процессом.
В работе В.В.Анисимова и В.Н.Ситюка [2J получены предельные теоремы для неоднородного пуассоновского процесса в случайной среде, описываемой цепью Маркова, которая в схеме серий может рассматриваться как быстро меняющаяся. Для доказательства предельных теорем исследовались асимптотические свойства решений систем дифференциальных уравнений.
В настоящей работе в быстро меняющейся случайной среде изу-
чаются процессы более общего вида. Среда ^п/ предполагается эргодическим процессом, а процесс 0 (у при заданной траектории (v является марковским. Метод исследования, предложенный А.Д.Соловьевым, основан на использовании эргодических свойств ^ Ж , и не связан с изучением дифференциальных или интегральных уравнений, которые могут быть выписаны для переходных вероятностей в марковском случае. Это обстоятельство позволяет рассмотреть процессы значительно более общего вида по сравнению с процессами, изучавшимися в работе [2~] , и получить более общие результаты.
Распределения некоторых функционалов от процесса, являющегося предельным для процесса П (tj , остаются еще достаточно сложными. Дополнительное введение предельного перехода в схеме серий по параметрам предельного процесса, позволяет получить обозримые результаты. Для процесса 0 (tj , являющегося цепью Маркова с конечншл числом состояний, в схеме серий исследовано асимптотическое распределение числа непоявившихся состояний. Кроме того, получены предельные теоремы для процессов рождения и гибели в быстроменяющейся случайной среде.
Перейдем к более подробному изложению основных результатов.
В первой главе получены теоремы о сходимости конечномерных распределений и вероятностей перехода с запрещениями второй компоненты П /-Н к соответствующим конечномерным распределениям и вероятностям перехода с запрещениями некоторого марковского процесса. В I рассмотрена следующая модель марковских процессов в случайной среде. Предполагается, что процесс ^(i) , описывающий состояние среды, является эргодическим процессом:
для любой целочисленной функции Ф (К)
t р оа
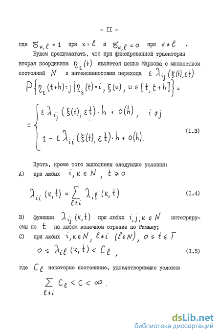
где JT, - стационарное распределение 5 w * Процесс О (if) при условии фиксированной траектории ^7) является марковским процессом с интенсивностями перехода вида Д . ( ("!) ^). Предполагается, что функции Дг--(К и) удовлетворяют следующим условиям:
A) Д{{(кД) = ^] ^(^цри любых ifKetf*(i^y.)
Ї >о
функции А-- (К, і) ДРИ любых п ^ 6 /v интегрируемы по , на любом конечном отрезке по Риману;
О ^с(Ы,{)< С при любых if * є Ы } і Фі (сбЛ/ 0^.і^Т) , где С^ некоторые постоянные удовлетворяющие условию 2- Ср < С <&
Основным результатом этого параграфа является теорема І.І. В этой теореме в предположении, что Д^. (К ту удовлетворяют условиям А), В), С) и, кроме того, выполнено условие (I), доказана сходимость по вероятности при -* о конечномерных распределений процесса п (t) к конечномерным распределениям не-однородного марковского процесса с интенсивностями перехода вида
Теоремы I и 2 работы [2] являются частными случаями теоремы I.I.
В теореме 1.2 устанавливается сходимость вероятностей перехода с запрещениями процесса 0 ({) к вероятностям перехода
с*
с запрещениями неоднородного марковского процесса с интенсив-ностями перехода At-- (t)
Во втором параграфе первой главы рассматривается процесс (SpM, Cw) » У которого существуют марковские моменты близкие к моментам скачков (і) . Поведение среды ^ (і) в этом процессе зависит от п ({) . Точное определение процесса (^ (і) ({)] дано в п. І.І 2 главы I. Основные результаты 2 содержатся в теоремах 2.1 и 2.2.
В теореме 2.1 устанавливается сходимость конечномерных распределений процесса О (і) к конечномерным распределениям некоторого предельного марковского процесса; в теореме 2.2 доказана сходимость вероятностей перехода с запрещеїшями процесса О (і) к аналогичным вероятностям предельного процесса.
Во второй главе рассматривается процесс ( ({] о ({)) в котором компонента, описывающая поведение внешней среды,
5 (і) "склеивается" из отрезков независимых реализаций геометрически эргодичных процессов s w ІЧ » гДе (^)О возможные состояния процесса ( S ("О ? W) Предполагается, что
цр{и^н
т = і.
-п
<: Є К>о
Число состояний О ({) конечно. Реализации (iJ совпадают с независимыми реализациями ь , /-М на тех промежутках времени, когда процесс 0 ({) находится в состоянии { , а процесс ^ (f) в конце предыдущего промежутка находился в состоянии К. . Плотность распределения времени пребывания
процесса О (і) в состоянии 1 при фиксированной траектории
^ . (І) .имеет вид
Вероятность перехода 0 ({) из t в 1 , при условии, что этот переход произошел в момент І равна
V !«<(*))
В этой главе исследуется предельное поведение числа Af0(j) , не появившихся за время состояний цепи Маркова 9 (і) » когда 1 ->оо , .-> о и, кроме того, могут меняться параметры ^ (к ) и число состояний 2 (0 Предельные теоре-мы о числе непоявившихся состояний для обычных цепей Маркова с дискретным временем (без рассмотрения случайной среды) получены в работах П.Ф.Беляева ^4] и А.М.Зубкова [10] .
В 2 вводится вложенная цепь Маркова ^ (п) -= (ъ9(и) 2- ^nV ' образованная последовательностью со-стояний процесса ($ ({) 0 (-t)J в моменты скачков
0 (і) . Асимптотические Формулы для вероятностей перехода цепи 2^ (п) позволяют применить результаты А.М.Зубкова Гю] и установить предельные теоремы для некоторых функционалов от траекторий цепи ~С=> (п) Переход от вложенной цепи к исследуемым процессам с непрерывным временем I? (т) > основан на использовании обобщения неравенства Чебышева, полученного в работе А.М.Зубкова [9J . Основным результатом второй главы является теорема 3.1 о близости распределения числа Н0 (/^Л/
непоявившихся за П скачков состояний цепи О (п) к рас-
Lt пределению сумм независимых индикаторов. Следствиями этой теоремы являются теоремы 3.6, 3.7, 3.8 и 3.9. В этих теоремах устанавливается асимптотическая нормальность и сходимость к распределению Пуассона числа непоявившихся состояний MQ ()
В третьей главе исследуются процессы рождения и гибели в случайной среде,
В первом параграфе рассматриваются ветвящиеся процессы рождения и гибели в быстро меняющейся случайной среде ^ ({)= ~(b(t/ 2 (**)/ Состояние среды описывается геометрически эргодичной цепью Маркова со счетным множеством состояний
г = 1
< Є У> О.
)
При фиксированной траектории $ (t/ процесс О (-b) является процессом рождения и гибели с интенсивностью размножения А ^ - 1 Р (sC^/j и интенсивностью гибели аг = г Р (^60/ Основным результатом пара-
графа является теорема I.I устанавливающая, что при Т-^>оо -» О производящая функция
F^,*)-ri(^(4)ht^)>o
сближается с производящей функцией г (^ **/ условного распределения числа частиц обычного ветвящегося процесса рождения и гибели.
Во втором параграфе третьей главы доказана теорема о сходимости к экспоненциальному распределению времени до первого достижения высокого уровня процессом рождения и гибели в быстроменяющейся случайной среде. В доказательстве использован результат А.Д.Соловьева [22] .
По результатам, вошедшим в диссертацию, делались доклады на научном семинаре в МГУ "Вероятностные методы в технике", руководимом академиком АН УССР Б.В.Гнеденко и профессорами А.Д.Соловьевым и Ю.К.Беляевым; на Всесоюзной конференции "Вероятностные методы в дискретной математике" в 1983 г. (г.Петрозаводск) .
Основное содержание диссертации опубликовано в работах
[те] , [і?] , [ю] .
Автор благодарен своему научному руководителю доктору физико-математических наук, профессору Александру Дмитриевичу Соловьеву за постоянное внимание и помощь в работе.
Сходимость конечномерных распределений
В теореме 1.2 устанавливается сходимость вероятностей перехода с запрещениями процесса 0 ({) к вероятностям перехода с с запрещениями неоднородного марковского процесса с интенсив-ностями перехода At-- (t)
Во втором параграфе первой главы рассматривается процесс (SpM, Cw) » У которого существуют марковские моменты близкие к моментам скачков (і) . Поведение среды (і) в этом процессе зависит от п ({) . Точное определение процесса ( (і) ({)] дано в п. І.І 2 главы I. Основные результаты 2 содержатся в теоремах 2.1 и 2.2.
В теореме 2.1 устанавливается сходимость конечномерных распределений процесса О (і) к конечномерным распределениям некоторого предельного марковского процесса; в теореме 2.2 доказана сходимость вероятностей перехода с запрещеїшями процесса О (і) к аналогичным вероятностям предельного процесса.
Во второй главе рассматривается процесс ( ({] о ({)) в котором компонента, описывающая поведение внешней среды, "склеивается" из отрезков независимых реализаций геометрически эргодичных процессов s w ІЧ » гДе ( )О возможные состояния процесса ( S ("О W) Предполагается, что
Число состояний О ({) конечно. Реализации (iJ совпадают с независимыми реализациями ь , /-М на тех промежутках времени, когда процесс 0 ({) находится в состоянии { , а процесс (f) в конце предыдущего промежутка находился в состоянии К. . Плотность распределения времени пребывания процесса О (і) в состоянии 1 при фиксированной траектории . (І) .имеет вид Вероятность перехода 0 ({) из t в 1 , при условии, что этот переход произошел в момент І равна
В этой главе исследуется предельное поведение числа Af0(j) , не появившихся за время состояний цепи Маркова 9 (і) » когда 1 - оо , .- о и, кроме того, могут меняться параметры (к ) и число состояний 2 (0 Предельные теоре-мы о числе непоявившихся состояний для обычных цепей Маркова с дискретным временем (без рассмотрения случайной среды) получены в работах П.Ф.Беляева 4] и А.М.Зубкова [10] .
В 2 вводится вложенная цепь Маркова (п) -= (ъ9(и) 2- nV образованная последовательностью со-стояний процесса ($ ({) 0 ()J в моменты скачков
Асимптотические Формулы для вероятностей перехода цепи 2 (п) позволяют применить результаты А.М.Зубкова Гю] и установить предельные теоремы для некоторых функционалов от траекторий цепи С= (п) Переход от вложенной цепи к исследуемым процессам с непрерывным временем I? (т) основан на использовании обобщения неравенства Чебышева, полученного в работе А.М.Зубкова [9J . Основным результатом второй главы является теорема 3.1 о близости распределения числа Н0 (/ Л/ непоявившихся за П скачков состояний цепи О (п) к рас Lt пределению сумм независимых индикаторов. Следствиями этой теоремы являются теоремы 3.6, 3.7, 3.8 и 3.9. В этих теоремах устанавливается асимптотическая нормальность и сходимость к распределению Пуассона числа непоявившихся состояний MQ ()
В третьей главе исследуются процессы рождения и гибели в случайной среде, В первом параграфе рассматриваются ветвящиеся процессы рождения и гибели в быстро меняющейся случайной среде ({)= (b(t/ 2 ( )/ Состояние среды описывается геометрически эргодичной цепью Маркова со счетным множеством состояний
При фиксированной траектории $ (t/ процесс О (-b) является процессом рождения и гибели с интенсивностью размножения А - 1 Р (sC /j и интенсивностью гибели АГ = г Р ( 60/ Основным результатом пара - 9 графа является теорема I.I устанавливающая, что при Т- оо производящая функция сближается с производящей функцией г ( / условного распределения числа частиц обычного ветвящегося процесса рождения и гибели.
Во втором параграфе третьей главы доказана теорема о сходимости к экспоненциальному распределению времени до первого достижения высокого уровня процессом рождения и гибели в быстроменяющейся случайной среде. В доказательстве использован результат А.Д.Соловьева [22] .
По результатам, вошедшим в диссертацию, делались доклады на научном семинаре в МГУ "Вероятностные методы в технике", руководимом академиком АН УССР Б.В.Гнеденко и профессорами А.Д.Соловьевым и Ю.К.Беляевым; на Всесоюзной конференции "Вероятностные методы в дискретной математике" в 1983 г. (г.Петрозаводск) .
Марковские процессы в случайном-'среде, зависящей от состояния процесса
Приведем два примера систем массового обслуживания, иллюстрирующих применения результатов этого параграфа. В первом более простом пршлере величины TV равны 0, так как моменты скачков второй компоненты О Л) являются марковскими мо-ментами.
Пример I. Рассмотрим систему массового обслуживания типа состоящую из бесконечного числа приборов. Пусть на вход этой системы поступает пуассоновский поток заявок интенсивности Д ; G"(w - функция распределения длины заявки. Обозначим & (і) г 1 — G(i) . Будем предполагать что
Вероятность отказа одного работающего прибора на отрезке ft І + & І J » при условии, что на этом отрезке работает менее N приборов, равна /I + о(Д t) при А і О Если в момент работает К А/ приборов, то при й{ -? О вероятность отказа одного прибора на интервале [I { + АІ ] равна Z/4 - 4 о(д и . Все требования, находящиеся в системе, в момент отказа теряются. Для описания такой системы естественно взять двумерный случайный процесс ( ({) Y) /П , где 5 Li) число требований в системе в момент времени число отказавших приборов. Такой процесс не удо 50 влетБоряет условиям I, так как первая координата 5 (т) зависит от поведения 19 ({) . На тех участках, где процесс 1 (т) постоянен (т.е. нет отказов), ({) ведет себя, как очередь в обычной системе f & . Моменты скачков процесса V ({] являются точками регенерации для процес са S І.Ч так как в эти моменты система полностью осво-бождается. Таким образом величины С, в этом случае равны 0. Предельным процессом, так же как и в пршлере I, будет процесс чистого размножеьпш с интенсивностью размножения вида
Конечномерные распределения процесса 17 (і) сходятся к соот-ветствущим конечномерншл распределениям процесса чистого размножения: Время до выхода процесса V (і) на уровень имеет в пре-деле эрланговское распределение: Рассмотрим более сложный пример, в котором величины ZT е отличны от 0.
Пример 2. В качестве процесса возьмем длину оче реди в момент времени "t в системе М// п (т.е. система состоит из К приборов, П мест для ожидания). На вход системы поступает пуассоновский поток заявок интенсивности А . Распределение длины одной заявки &(t) . Пусть распределение G(t) имеет плотность cl(t) Обозначим Предположим, что каждый работающий прибор отказывает с интенсивностью /4 и далее не восстанавливается. Заявки с отказавшего прибора теряются. Если все приборы отказали, то система считается свободной. В качестве случайных величин 7Г можно взять время от момента Ь до ближайшего освобождения системы от всех заявок. Тогда на участках У - Х У . где 2 - момент отказа і -го прибора;процесс & (±) представляет собой длину очереди в обычной системе М I G- K І без отказов. Предполо - 52 -ex? яим, что і . Для выполнения условия о 2.1 необходимо, кроме того, потребовать чтобы для любого У о существовало Л/у такое, что (2.18) где Q - длина требования в системе. Условие (2.18) эквивалентно условию при ОС - равномерно по о х+"Ь
Условие (2.19) будет выполнено, например, если С(и) с 0 или если & (і) принадлежит к классу стареющих распределений 5функция распределения Gity принадлежит к 5 тогда и только тогда, когда при всех
Время до отказа системы, т.е. время до попадания процесса 10 f-fc) в состояние 1С сходится к случайной величине имеющей распределение суммы с экспоненциальных величин с параметрами
Определения Рассмотрим, как и 2 главы I, двумерный случайный процесс 2 (ч - ( (t) 9 (t)) с непрерывным временем.
Моменты скачков будем считать марковскими. Кроме того, в этой главе на процесс (.4 будут накладываться более сильные ограничения, состоящий в предположении о скорости сходимости нормированных времен пребывания процесса в фиксированных состояниях. При таких предположениях получены предельные теоремы в схеме серий для некоторых функционалов от процесса (i) . Основные результаты главы 2 опубликованы в работе fl9j . В работе В.В.Анисимова 11 для процессов рассматриваемого типа получены предельные теоремы в схеме серий. При этом предполагалось, что число состояний цепи Маркова (і) постоянно и изменяющиеся в схеме серии характеристики процесса ( {{) сходятся к некоторым пределам. Полученные предельные теоремы применялись к исследованию распределения времени достижения некоторого множества.
Для определения процесса С (у-( [{) 0 /{)) зададим поведение (і) между скачками 9 (і) , распреде-ление времени Дп ( П =1,2,...) между (П-1 )-м и п -м скачком J9 (і) и закон перехода {{) в новое состояние в результате скачка. Будем предполагать, что при известном - 55 значении координаты ({-] в момент скачка Ц 1ч » дальнейшее поведение процесса С (і) не зависит от прошлого. ПуСТЬ і (") (ОПІКСЯ ,t,K;m-.y;...) независимые случайные процессы. При фиксированных (к; і ) конечномерные распределена процессов с (ц) m = 1,2 -- предполагаются одинаковыми.
Вложенные цепи Маркова
Отметигл еще, что теоремы, для процессов рождения и гибели, могут быть тем же методом доказаны для более общих докритиче-ских и критических ветвящихся процессов, если вместо явного выражения функции К,ъ (V Х-) для неоднородного ветвящегося процесса рождения и гибели воспользоваться формулой (4) на стр. 84 в [14] .
Будем рассматривать двумерный случайный процесс С с 00 — — ( fee ("L 9 с С )) » определенный в I гл. 2 с интенсив-ностями перехода -Д; ;(lc)второй компоненты, соответствующими процессу рождения и гибели
Предельный для VrC t/ c) процесс будем обозначать У (t") времена переходов этих процессов из О в обозначим tON/ и ТТ0 ы соответственно. Согласно результатам второй главы процесс является процессом гибели и размножения с интенсивностями гибели \Л і и размножения где X - стационарные распределения процессов ь: , определенных во второй главе. Будем предполагать, что
В этом случае процесс ty V) регулярен. В работе А.Д.Соловьева [22 \ приведены необходимые и достаточные условия схо димости распределений величин ТГ0 к показательному распределению. Б этом параграфе с использованием результатов работы С 22 3 доказывается сходимость распределении % 0 rv к показательному распределению. Аналогичные утверждения могут быть получены на основании результатов работы [_ 7 3 . Однако условия сходимости, приведенные в работе 7 "] , не являются необходимыми и достаточными. Использование этих условий привело бы к более слабым утверждеїшям об асимптотическом поведенииt0 Рассуждения, устанавливающие близость процессов f Qt/&) и У? ("Ъ) аналогичны соответствующим рассуждениям в гл. 2. Бремена пребывания процессов ("t) V ( L) Б состоянии L обозначим Д- и Л соответственно.
Доказательство Вложенные цепи Маркова, соответствующие процессам /?с( 0 Ъ Gt) зададим на одном вероятностном пространстве так же, как это было сделано для вложенных цепей Маркова в гл. 2. Бремена пребывания в состояниях тоже заданы на одном вероятностном пространстве. Таким образом, процессы J?c(,) !? "0t) определены на одном вероятностном пространстве. Обозначим А- событие { Са/У (Ы) , OCUU t } Во втором параграфе первой главы рассматривается процесс (SpM, Cw) » У которого существуют марковские моменты близкие к моментам скачков (і) . Поведение среды (і) в этом процессе зависит от п ({) . Точное определение процесса ( (і) ({)] дано в п. І.І 2 главы I. Основные результаты 2 содержатся в теоремах 2.1 и 2.2.
В теореме 2.1 устанавливается сходимость конечномерных распределений процесса О (і) к конечномерным распределениям некоторого предельного марковского процесса; в теореме 2.2 доказана сходимость вероятностей перехода с запрещеїшями процесса О (і) к аналогичным вероятностям предельного процесса.
Число состояний О ({) конечно. Реализации (iJ совпадают с независимыми реализациями ь , /-М на тех промежутках времени, когда процесс 0 ({) находится в состоянии { , а процесс (f) в конце предыдущего промежутка находился в состоянии К. . Плотность распределения времени пребывания процесса О (і) в состоянии 1 при фиксированной траектории . (І) .имеет вид Вероятность перехода 0 ({) из t в 1 , при условии, что этот переход произошел в момент І равна
В этой главе исследуется предельное поведение числа Af0(j) , не появившихся за время состояний цепи Маркова 9 (і) » когда 1 - оо , .- о и, кроме того, могут меняться параметры (к ) и число состояний 2 (0 Предельные теоре-мы о числе непоявившихся состояний для обычных цепей Маркова с дискретным временем (без рассмотрения случайной среды) получены в работах П.Ф.Беляева 4] и А.М.Зубкова [10] .
В 2 вводится вложенная цепь Маркова (п) -= (ъ9(и) 2- nV образованная последовательностью со-стояний процесса ($ ({) 0 ()J в моменты скачков
Асимптотические Формулы для вероятностей перехода цепи 2 (п) позволяют применить результаты А.М.Зубкова Гю] и установить предельные теоремы для некоторых функционалов от траекторий цепи С= (п) Переход от вложенной цепи к исследуемым процессам с непрерывным временем I? (т) основан на использовании обобщения неравенства Чебышева, полученного в работе А.М.Зубкова [9J . Основным результатом второй главы является теорема 3.1 о близости распределения числа Н0 (/ Л/ непоявившихся за П скачков состояний цепи О (п) к рас Lt пределению сумм независимых индикаторов. Следствиями этой теоремы являются теоремы 3.6, 3.7, 3.8 и 3.9. В этих теоремах устанавливается асимптотическая нормальность и сходимость к распределению Пуассона числа непоявившихся состояний MQ ()
Распределение момента первого выхода в запрещенное состояние
В теореме 1.2 устанавливается сходимость вероятностей перехода с запрещениями процесса 0 ({) к вероятностям перехода с с запрещениями неоднородного марковского процесса с интенсив-ностями перехода At-- (t)
Во втором параграфе первой главы рассматривается процесс (SpM, Cw) » У которого существуют марковские моменты близкие к моментам скачков (і) . Поведение среды (і) в этом процессе зависит от п ({) . Точное определение процесса ( (і) ({)] дано в п. І.І 2 главы I. Основные результаты 2 содержатся в теоремах 2.1 и 2.2.
В теореме 2.1 устанавливается сходимость конечномерных распределений процесса О (і) к конечномерным распределениям некоторого предельного марковского процесса; в теореме 2.2 доказана сходимость вероятностей перехода с запрещеїшями процесса О (і) к аналогичным вероятностям предельного процесса.
Во второй главе рассматривается процессв котором компонента, описывающая поведение внешней среды, "склеивается" из отрезков независимых реализаций геометрически эргодичных процессов где возможные состояния процесса Предполагается, что
Число состояний конечно. Реализации совпадают с независимыми реализациями ь , /-М на тех промежутках времени, когда процесс 0 ({) находится в состоянии { , а процесс (f) в конце предыдущего промежутка находился в состоянии К. . Плотность распределения времени пребывания процесса О (і) в состоянии 1 при фиксированной траектории Вероятность перехода 0 ({) из t в 1 , при условии, что этот переход произошел в момент І равна
В этой главе исследуется предельное поведение числа Af0(j) , не появившихся за время состояний цепи Маркова 9 (і) » когда 1 - оо , .- о и, кроме того, могут меняться параметры (к ) и число состояний 2 (0 Предельные теоре-мы о числе непоявившихся состояний для обычных цепей Маркова с дискретным временем (без рассмотрения случайной среды) получены в работах П.Ф.Беляева 4] и А.М.Зубкова [10] .
Асимптотические Формулы для вероятностей перехода цепи 2 (п) позволяют применить результаты А.М.Зубкова Гю] и установить предельные теоремы для некоторых функционалов от траекторий цепи С= (п) Переход от вложенной цепи к исследуемым процессам с непрерывным временем I? (т) основан на использовании обобщения неравенства Чебышева, полученного в работе А.М.Зубкова [9J . Основным результатом второй главы является теорема 3.1 о близости распределения числа Н0 (/ Л/ непоявившихся за П скачков состояний цепи О (п) к рас Lt пределению сумм независимых индикаторов. Следствиями этой теоремы являются теоремы 3.6, 3.7, 3.8 и 3.9. В этих теоремах устанавливается асимптотическая нормальность и сходимость к распределению Пуассона числа непоявившихся состояний MQ ()
В третьей главе исследуются процессы рождения и гибели в случайной среде, В первом параграфе рассматриваются ветвящиеся процессы рождения и гибели в быстро меняющейся случайной среде ({)= (b(t/ 2 ( )/ Состояние среды описывается геометрически эргодичной цепью Маркова со счетным множеством состояний
При фиксированной траектории $ (t/ процесс О (-b) является процессом рождения и гибели с интенсивностью размножения А - 1 Р (sC /j и интенсивностью гибели АГ = г Р ( 60/ Основным результатом пара - 9 графа является теорема I.I устанавливающая, что при Т- оо О производящая функция сближается с производящей функцией условного распределения числа частиц обычного ветвящегося процесса рождения и гибели.
Во втором параграфе третьей главы доказана теорема о сходимости к экспоненциальному распределению времени до первого достижения высокого уровня процессом рождения и гибели в быстроменяющейся случайной среде. В доказательстве использован результат А.Д.Соловьева [22] .
По результатам, вошедшим в диссертацию, делались доклады на научном семинаре в МГУ "Вероятностные методы в технике", руководимом академиком АН УССР Б.В.Гнеденко и профессорами А.Д.Соловьевым и Ю.К.Беляевым; на Всесоюзной конференции "Вероятностные методы в дискретной математике" в 1983 г. (г.Петрозаводск) .















