Содержание к диссертации
Введение
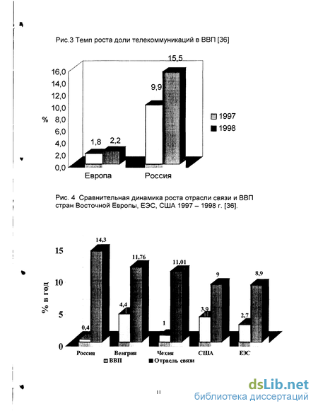
Глава 1
1.1.
1.2. 1.3.
1.4.
1.5.
Глава 2
2.1.
2.2.
Глава 3
3.1. 3.2. 3.3.
Заключение
Список литературы
Перспективы развития рынка услуг сотовой связи России 8
Экономическая значимость и общая характеристика
структуры отрасли связи России
Развитие сферы услуг сотовой связи в мире
Перспективы развития услуг сотовой и фиксированной
телефонной связи в России
Характеристика стандартов сотовой связи и общемировые
тенденции развития стандартов
Тенденции развития рынка услуг сотовой связи в России
і. Система цен на услуги предприятий сотовой связи
Система цен на услуги предприятий сотовой связи и исследование ценовой эластичности спроса Структура цены обслуживания сотовых телефонных компаний
Модель ценообразования на услуги сотовой связи
Роль затрат в ценообразовании на услуги сотовой связи Моделирование тарифов предприятия сотовой связи Динамическое моделирование конкурентного взаимодействия на рынке услуг сотовой связи
Введение к работе
Динамизм, сложная финансовая ситуацией и жесткая конкурентная борьба, характеризующие современную экономику, повышают значимость для субъекта, ведущего экономическую деятельность, доступа к информации, который осуществляется через средства связи. В быстро изменяющейся обстановке критически важной становится возможность оперативного приема и передачи информации, которую предоставляют сети сотовой подвижной радиосвязи. В последние годы продажа услуг сотовой радиосвязи стала одной из существенных сфер отечественного и мирового телекоммуникационного рынков.





















