Содержание к диссертации
Введение
Глава 1. Коммерческие банки как инфраструктура рыночной экономики 9
1.1 Становление и развитие банковской системы в условиях перехода России к рынку 9
1.2. Основные функции банковской системы и их значение на современном этапе 18
1.3. Необходимость проведения рейтингового анализа коммерческих банков при управлении активами предприятия 23
1.4. Выводы 31
Глава 2. Методы и модели рейтингового анализа коммерческих банное 32
2.1. Обзор и критический анализ имеющихся методик оценки инвестиционной привлекательности коммерческих банков 32
2.2. Выбор математического аппарата для решения задачи рейтингового анализа 46
2.3. Анализ показателей для оценки инвестиционной привлекательности коммерческих банков 60
2.4. Процедура определения значимости показателей (взвешивающих коэффициентов) 65
2.5. Учет риска для прогнозирования ожидаемого в перспективе состояния банка 67
2.6. Выводы 74
Глава 3. Информационное и математическое обеспечение процедур рейтингового анализа коммерческих банков 75
3. 1. Постановка задачи выявления групп коммерческих банков близких по своей "весовой" категории 75
3.2, Анализ алгоритмов объективной классификации и выбор процедуры выявления групп коммерческих банков
3.3. Процедура классификации коммерческих банков наличии качественных характеристик
3.4 Выводы
Заключение
Литература
- Основные функции банковской системы и их значение на современном этапе
- Необходимость проведения рейтингового анализа коммерческих банков при управлении активами предприятия
- Выбор математического аппарата для решения задачи рейтингового анализа
- Анализ алгоритмов объективной классификации и выбор процедуры выявления групп коммерческих банков
Введение к работе
Актуальность темы. Коммерческие банки (КБ) являются одним из важнейших элементов инфраструктуры рыночной экономики России. На современном этапе развития банковской системы в нее входит более 2000 коммерческих банков, отличающихся размерами, специализацией, спектром предоставляемых клиентуре услуг и другими характеристиками.
В условиях экономической свободы потенциальный инвестор сталкивается с проблемой выбора одного или нескольких банков для размещения собственных ресурсов. В связи с этим его интересует надежность коммерческих банков и возможность получения объективной и достоверной информации для принятия решения о размещении средств.
В настоящее время нет методик и анализа инвестиционной привлекательности КБ, которая могла бы удовлетворять требованиям, предъявляемым к ней со стороны инвесторов. Многочисленные публикации методов рейтингового анализа коммерческих банков в журналах и других средствах массовой информации, а также рейтинговых таблиц и комментариев к ним показывают остроту данной проблемы и несовершенство известных на сегодня методик.
Цель диссертации: разработка методов и моделей оценки инвестиционной привлекательности коммерческих банков и построения рейтинга КБ. позволяющих потенциальному инвестору принимать обоснованные решения о выборе банка для размещения собственных ресурсов.
В соответствии с целью в диссертации поставлены и решены следующие задачи:
выполнен анализ современной банковской системы России и выявлены параметры и методы государственного регулирования
деятельности КБ в условиях их полной экономической самостоятельности;
поставлены основные проблемы рейтингового анализа КБ с
позиции оценки инвестиционной привлекательности коммерческих
банков:
разработаны принципы оценки инвестиционной
привлекательности КБ как методическая основа рейтингового анализа;
выполнен критический анализ известных методик рейтингового
анализа и выявлены основные недостатки, которые должны быть
устранены в ходе разработки удовлетворяющей инвестора методики;
созданы алгоритмы синтеза функции предпочтения,
использующиеся в процедурах рейтингового анализа коммерческих
банков;
синтезированы оптимизационные экономико-математические
модели определения взвешивающих коэффициентов в задачах
рейтингового анализа;
обоснована система показателей, отражающих основные аспекты
функционирования КБ, которые влияют на оценку инвестиционной
привлекательности коммерческих банков;
поставлены и решены задачи объективной классификации коммерческих банков, возникающие на начальном этапе рейтингового анализа;
разработано программное и информационное обеспечение процедур рейтингового анализа;
осуществлено внедрение программной системы рейтингового анализа в управление коммерческими банками.
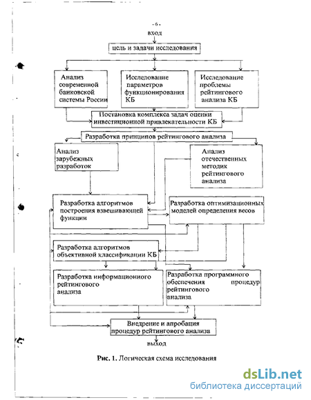
Логическая схема исследования приведена на рис. 1.
Анализ современной банковской системы России
вход
цель и задачи исследования
і
j.
Исследование параметров функционирования КБ
Исследование проблемы рейтингового анализа КБ
Постановка комплекса задач оценки -И инвестиционной привлекательности КБ
~ТГ
Разработка принципов рейтингового анализа
Анализ
зарубежных
разработок
Анализ
отечественных методик рейтингового анализа
Разработка алгоритмов построения взвешивающей к функции
Разработка оптимизационных j моделей определения весов
Разработка алгоритмов объективной классификации КБ
Разработка информационного
рейтингового
анализа
Разработка программного
обеспечения процедур
рейтингового анализа
~~
Внедрение и апробация процедур рейтингового анализа
выход
Рис. 1. Логическая схема исследования
Методологические и теоретические основы исследования: работы отечественных и зарубежных ученых в области теории систем, системного анализа, теории принятия решений, исследования операций, класстерного анализа, систем обработки экономической информации.
Научная новизна диссертационной работы; впервые созданы методы, модели и алгоритмы, позволяющие на основе вычислительной техники и информационных технологий осуществлять анализ инвестиционной привлекательности коммерческих банков для размещения в них ресурсов, которыми располагает потенциальный инвестор.
Впервые в данном исследовании предложена совокупность принципов рейтингового анализа, позволяющая синтезировать надежные с точки зрения инвестора процедуры ранжирования коммерческих банков по их привлекательности для инвестора. Надежность процедур обусловлена прежде всего тем, что они отражают индивидуальные предпочтения инвестора относительно важности для него различных аспектов функционирования коммерческого банка.
В работе предложен новый подход к построению функции предпочтения, который включен в процедуры рейтингового анализа. В рамках предложенного подхода преодолены недостатки известных методик рейтингового анализа.
В исследовании предложены модели и алгоритмы объективной классификации коммерческих банков для выделения основных групп КБ, близких по своим характеристикам. Это позволяет повысить информационную ценность процедур рейтингового анализа.
Практическая значимость и внедрение результатов исследования. Полученный в результате данного исследования программный продукт позволяет:
выявить систему предпочтений, на которую опирается инвестор
при сравнении коммерческих банков с точки зрения их инвестиционной
привлекательности;
проранжировать коммерческие банки по мере убывания их привлекательности для инвестора и сузить тем самым круг потенциальных партнеров для более глубокого ознакомления с их функционированием;
оценить положение отдельного коммерческого банка среди потенциальных конкурентов на рынке финансовых услуг;
получить информацию, отражающую динамику развития
коммерческого банка за любой промежуток времени, для выявления
характера складывающейся тенденции и принятия решений,
направленных на ее изменение;
определить интегральную оценку качества функционирования
филиалов крупного коммерческого банка для принятия решения о
коррекции управления филиалами.
Методы и модели, разработанные в диссертации, были внедрены и практически использованы в период с 1994 по 1997 г. Международным промышленным банком.
На зашиту выносятся основные результаты, определяющие нЬк*зну исследования.
V.,
Основные функции банковской системы и их значение на современном этапе
В современной рыночной экономике с разделением труда, банковская система имеет огромное значение благодаря связям этой системы со всеми секторами экономики. Самые важные задачи банков заключаются в обеспечении бесперебойного денежного оборота и оборота капитала, в предоставлении возможностей необходимого финансирования промышленным предприятиям, а также государственным бюджетам и частным хозяйствам, как и в предоставлении широкого круга возможности вложения денежных средств с целью накопления сбережений народного хозяйства.
Основной областью банковской деятельности являются кредитные сделки, при которых банки с одной стороны получают кредиты и на этой основе становятся должниками их клиентов-вкладчиков (пассивная операция), а с другой стороны выдают кредиты и за счет этого становятся кредиторами по отношению к клиентам, которые получили кредиты (активная операция). В отличие от системы расчетов и других услуг, при которых риск банков ограничивается ответственностью за правильное выполнение заказов клиентов, кредитные учреждения берут на себя огромный риск при заключении кредитных сделок.
Так как существует только незначительное количество вкладчиков, готовых предоставить кредит непосредственно предприятию, нуждающемуся в этом кредите, то по этой причине различные представления о риске, которые имеют участники рынка, должны быть скомпенсированы за счет промежуточного включения банков. На базе этого вкладчики приобретают уверенность в том, что за счет, как правило, первоклассных репутаций банков они по наступлении срока в любое время смогут распоряжаться своими деньгами. Риск выдачи кредита на базе дальнейшей передачи сбережений предприятию таким образом принимает на себя банк.
Параллельно с трансформацией риска важной задачей банков является также трансформация сроков. Так как основная масса вкладчиков предпочитает связывать свой капитал на короткие сроки, а финансирование капиталовложений в экономике требует, как правило, длительных сроков, то по этой причине банки должны обеспечить согласование между различными представлениями о сроках связывания капитала. Если банкам не удается обеспечить рефинансирование их займов на срок действия договоров, то в этом случае дополнительно к риску кредитования они принимают на себя также риск изменения процентов [61].
Следующая задача трансформации банков заключается также в адаптации различных величин друг к другу, так как возможно, что большое количество мелких вкладов противопоставляется небольшому количеству крупных кредитов, а также наоборот, что для финансирования целого ряда мелких кредитов в распоряжении имеется небольшое количество крупных вкладов.
Трансформация рисков, сроков и величин является центральной функций банков в народном хозяйстве, И только благодаря выравниванию различий в отношении готовности к взятию ряска, предпочтений ликвидности и соотношений величин между спросом и предложением на денежном рынке и рынке капитала возможно привлечение ЧУЖИХ сбережений для полезного финансирования экономики.
Следующая важная экономическая функция банков заключается в том, что банки создают основу для денежного оборота и оборота капитала- Различные услуги банков в области системы расчетов постоянно необходимы почти для всех отраслей народного хозяйства, но? как и все другие услуги, они не могут быть предоставлены с запасом на будущее и не могут храниться на складе. Так как уже временный выход из строя может привести к серьезным перебоям циркуляции экономики, то по этой причине существует особый экономический интерес для обеспечения бесперебойного функционирования системы расчетов банков.
Независимо от различий в отношении правовых форм, отношений собственности, величины банков, организации предприятий и деловых структур, основное количество банков совмещают под одной крышей все возможные банковские операции. Коммерческие банки можно разделить на три основные группы:
Частные банки (кредитные банки), в которые входят несколько крупных банков, региональные банки и прочие кредитные банки, частные банкиры, а также филиалы иностранных банков, с долей в размере одной трети от деловых операций всех банков.
Общим важным признаком частных коммерческих банков является преобладание краткосрочных кредитных сделок, которые, несмотря на различную величину и различную структуру отдельных банков, по своему объему намного преобладают, хотя за последнее время увеличивается также и объем долгосрочных кредитов. Особенно интенсивно частные коммерческие банки работают в области ценных бумаг, консультации капиталовложений и в области управления имуществом. Приблизительно три четверти всех ценных бумаг с твердым процентом, инвестиционных сертификатов и акций находится в депо для хранения пенных бумаг у частных банков. При выполнении платежных расчетов в рамках торговых отношений и оборотов капитала зарубежом, деятельность частных банков является также очень важной. В их руках находится свыше 3/4 всего рабочего баланса иностранных банков-корреспондентов и почти такая же часть всех коммерческих платежных операций с зарубежом осуществляется через счета частных банков. Конечно, между отдельными кредитными учреждениями и группами частных коммерческих банков существует целый ряд различий, в особенности в отношении величины предприятия, организации, географических областей деятельности и специализации деятельности.
Общественно-правовые сберегательные кассы и земельные банки (жироцентрали) с долей в размере половины Операции финансирования внешней торговли и сделки на базе ценных бумаг для сберегательных касс не имеют такого важного значения, как для частных коммерческих банков, но за последнее время жироцентрали все активнее участвуют во внешнеторговой деятельности. Совместно с жироцентралями сберегательные кассы образовывают большую жиросистему в области операций безналичного расчета- За исключением нескольких случаев они являются правоспособными учреждениями общественного права; их гарантами в первую очередь являются общины, города и районы. Поле деятельности этих кредитных учреждений распространяется только не на область их гаранта.
Необходимость проведения рейтингового анализа коммерческих банков при управлении активами предприятия
На сегодня только в Москве действует свыше 800 коммерческих банков. В марте этого года ЦБ РФ поднял "планку" уровня капитала банка до 2 млрд. руб. или 1 млн. ЭКЮ для вновь создаваемых банков, и до 5 млн, ЭКЮ до 1999 года для действующих банков, тем самым спровоцировав противоречивые процессы движения банковских структур. Кроме того, в связи с изменением общеэкономической ситуации: падением процентных ставок, стабилизацией конъюнктуры на более низком уровне на фоне замедления инфляционных процессов и осознания населением рискованности "игры" с высокодоходными финансовыми "пирамидами" - наблюдатели склонны усматривать обострение проблемы надежности банков в том числе и с точки зрения психологической [19].
Развитие банковской системы России, которое привело к появлению достаточно большого количества коммерческих банков, дало в руки потенциальному банковскому кредитору (инвестору) свободу выбора в размещении имеющихся в его распоряжении временно свободных средств. Характеристика деятельности коммерческого банка с точки чрения его надежности, определение его положения в ряду других банков имеет важное значение для банковских контрагентов (клиентов, акционеров, вкладчиков, других коммерческих и Центрального банков). Российскими коммерческими банками при принятии решения о выдаче кредита широко используются различные методики оценки кредитоспособности заемщиков. В то же время сейчас возможности анализа надежности коммерческого банка, оценки его положения на рынке банковских услуг ограничены, что затрудняет принятие решения о целесообразности открытия счета, размещения средств в том или ином коммерческом банке, его кредитования Центральным банком или другими коммерческими банками.
В настоящее время на рынке банковских услуг в качестве ориентира при выборе банка заинтересованными лицами может быть использована рекламная информация. Однако реклама коммерческого банка дает представление в основном об условиях привлечения вкладов населения, но вопрос надежности банков остается при этом нерешенным. КохМмерческие банки обязаны ежегодно публиковать свои балансы в открытой печати. Но, во-первых, это пока не стало нормой. Балансы опубликовали лишь некоторые коммерческие банки. Во-вторых, они публикуются в агрегированном виде, затрудняющем серьезный анализ [49, 55, 56].
Цели контрольной и надзорной деятельности Центрального банка России, определенные Законом Российской Федерации "О Центральном банке РСФСР (Банке России)", состоят в создании условий для устойчивого функционирования банков.
Банк России в пределах настоящего Закона осуществляет функции регулирования и надзора за деятельностью банков в целях поддержания стабильности денежно-кредитной системы [721. Экономические нормативы деятельности коммерческих банков: 1. Для обеспечения экономических условий устойчивого функционирования банковской системы РФ Центральный банк РФ установил следующие экономические нормативы деятельности коммерческих банков: - нормативы достаточности капитала коммерческого банка; - нормативы ликвидности баланса коммерческого банка; - минимальный размер обязательных резервов, депонируемых в ЦБ РФ; - максимальный размер риска на одного заемщика. При этом ЦБ применяет нормативы как директивного характера, обязательные для выполнения всеми коммерческими банками, так и оценочные, - используемые для анализа их деятельности и финансового состояния. 2. Достаточность капитала коммерческого банка определяется минимально допустимым размером уставного капитала банка и предельным соотношением всего его капитала и суммы активов с учетом оценки риска. Для оценки состояния активов коммерческого банка они подразделяются на 6 групп, исходя из степени риска вложений и возможной потери части стоимости. При этом отдельным категориям и группам активов присваиваются соответствующие поправочные коэффициенты.
Выбор математического аппарата для решения задачи рейтингового анализа
Проблема выбора математического аппарата, адекватного задаче рейтингового анализа, является одной из важнейших при разрабогке инструментария. Наиболее приемлемым является с нашей точки зрения математический аппарат векторной оптимизации.
Наиболее сильное утверждение относительно задач векторной оптимизации, достаточно распространенное в литературе, состоит в том, что наилучшим может быть признано решение лишь с точки зрения лица, принимающего решения (ЛПР), т.е. объективная, не зависящая от ЛПР, процедура выбора наиболее эффективного варианта не может быть предложена [1, 60].
Поэтому в наиболее общем случае предлагается выявить предпочтения ЛПР и на нх основе построить не противоречащую им процедуру выбора. Решающие правила обычно разделяются по принципам построения - на эвристические и аксиоматические; в соответствии с процедурами построения - на одношаговые и многошаговые; по назначению - на правила, приводящие к полному или частичному упорядочению множества допустимых решений.
Аксиоматический подход к построению решающих правил предполагает принятие некоторых выдвинутых заранее положений в процессе выбора [4. 26, 33, 41 ]. Этот подход, в частности, лежит в основе нормативной теории полезности, в которой на основе выявляются условия существования скалярной функции полезности на множестве векторных оценок. Эвристический подход основан на формировании различных интуитивных, опирающихся на "здравый смысл" правил поиска компромиссных решений, способов скаляризации векторного критерия [28,34,411 Задачи векторной оптимизации можно условно разделить на следующие классы: многокритериальные задачи математического программирования, наиболее существенной чертой которых является исследование объективных формализованных моделей; - задачи ранжирования многомерных альтернатив, в условиях, когда не обязательно существует возможность количественной оценки некоторых критериев; - задачи отнесения многомерных альтернатив к заранее сформированным классам. Применительно к задачам математического программирования с векторной целевой функцией проблема построения Парето-оптимальных решений является одной из важнейших. Ее решению посвящено большое число работ, носящих формализованный характер. Но квинтэссенцией методов векторной оптимизации является этап выбора варианта из множества эффективных по Парето, т.к. его мощность в общем случае больше единицы и здесь неизбежно активное участие человека - ЛПР [6,21].
Построение функции полезности, являющейся основой аксиоматического подхода, применительно к объективным моделям осуществляется, как правило, одновременно с исследованием допустимого множества решений. Средством реализации такого подхода является интерактивный режим решения задач, в ходе которого ЭВМ осуществляет определенные фазы решения и выдает эксперту или ЛПР результаты, позволяющие изменять направление поиска, уточнять предпочтения ЛПР [32, 37], Основная идея введения функции полезности состоит в том, что структуру предпочтений ЛПР можно формализовать в виде скалярной целевой функции где х - вектор параметров. Вид функции задается априорно (часто линейной). Параметрам придаются некоторые начальные значения к = коя решается задача max[F[/(x)A]} Полученные значения критериев предлагаются на рассмотрение ЛПР, и в случае неудовлетворенности с его стороны полученным решением параметры к меняются в соответствии с какими-либо принципами, В основе прямых процедур заложена возможность оптимизации с помощью ЭВМ при тех значениях параметров ft, которые задает и видоизменяет человек, выполняющий анализ промежуточных результатов. Суть процедуры поиска удовлетворюгельных значений критериев заключается в определении весов частных критериев формальным 0 образом, исходя из условия максимизации суммы их относительных значений. При этом ЛПР? анализируя очередное решение, указывает значение какого из критериев является наименее удовлетворительным и насколько его следует улучшить. В зависимости от этой информации, заданной в виде ограничения, находится новое решение и значение системы весов [39].
Отдельную группу образуют методы, базирующиеся на вычислении градиента функции предпочтений ЛПР. Особенностью этих методов является то, что в их основу положен какой-либо подходящий формальный алгоритм оптимизации, использующий информацию о функции полезности, которая задается ЛПР на двух этапах - для определения ее градиента и для выбора величины шага при одномерной Щ оптимизации. Предполагается вычислять градиент (вернее, вектор параллельный ему) с помощью определения предельных норм замещения одного из критериев всеми остальными. Для этого ЛПР представляется график изменения всех критериев вдоль выбранного направления, и ЛПР должен указать на нем "оптимальную точку 4 [14? 39,41- 44]. При этом используется весьма сильное предположение, что для любой точки критериального пространства ЛПР может указать такое приращение любого критерия, которое будет полносгью компенсировано (эквивалентно) уменьшению на единицу опорного критерия.
Анализ алгоритмов объективной классификации и выбор процедуры выявления групп коммерческих банков
При описании алгоритмов без ограничения общности можно предполагать, что требуется произвести разделение векторов на два класса: А и В, В алгоритме применяется потенциальная функция К (х5 у), зависящая от расстояния R (xty) между векторами хиуъ пространстве ЛГ. В данном случае К (х, у) убывает с ростом расстояния R (х, у) Используя эту функцию, введем понятие меры близости К (X, I}) вектора X к конечному множеству векторов D: K{x,D) = K{x,Xj), D XjsD V } где Л7 - число векторов Xj є/).
Пусть к (т +1) -му шагу алгоритма из исходного множества Л/о отобрано т векторов и построены последовательности &-т = \х\т"9Хт$ и lm i -" j , а оставшиеся векторы входной последовательности объединены во множество Мт Тогда на {т +1) -м шаге строятся последовательности M w+l = \X\f XmiXm+\} И Здесь Хт+\ "" Xj :ДУм„( "»" ) = Х( Л,+1) (3) Другими словами, работа алгоритма заключается в следующем: вначале выбирается вектор х\9 затем среди оставшихся (N -І) векторов определяется вектор Хг, ближайший к Х\, далее среди оставшихся (TV-2) векторов находится вектор Хъ, ближайший в смысле (1) к первым двум (т.е. ближайший к множеству X х %J X 2 )n т,д. При этом каждому вектору xj ставится в соответствие величина &j из последовательности Q. -79 Как видно из выражения (3), Л у является мерой близости выбираемого на j -м шаге вектора xj к множеству всех ранее і " " r j \ отобранных векторов \ i - xj-[j .
Для работы алгоритма "Спектр" необходимо заранее задать число классов, на которое производится разделение векторов. Однако, существует способ (описанный ниже), с помощью которого это число выбирается машиной в процессе обработки входной посдедовательности В дальнейшем используется величина К (Dt D), характеризующая среднюю меру близости между векторами X} из конечного множества D: где No - число точек X) ей.
Величина К (Dy D) тем больше, чем "компактнее" множество D. Очевидно, что деление (классификация) тем лучше, чем ближе друг к другу расположены векторы внутри каждого класса, Таким образом, разделение (классификация) тем лучше, чем больше (при прочих равных условиях) величина / .
Кроме того, ясно, что классификация тем лучше, чем дальше расположены друг от друга классы, получившиеся в результате разделения. Причем необходимо, чтобы величина / увеличивалась с увеличением J\ (при фиксированном /і) и уменьшалась с увеличением 1г (при фиксированном J\).
Пусть на вход машины поступила последовательность векторов JCi, ..., Xiw. Используя алгоритмы "Спектр" и "Объединение", последовательно классифицируем эти векторы на К, К -I, .,., 2 классов. Лучшей среди этих (К -1) классификаций считается та, для которой величина / максимальна.
Описание программ, реализующих алгоритмы "спектр" и "объединение"приведено ниже. Последовательность работы программ ясна из структурных схем (рис. 2, 3). (На рис. 2 приведена структурная схема программы, реализующей алгоритм "Спектр". На рис, 3 изображена структурная схема программы получения начального разделения и программы, реализующей алгоритм "Объединение".)
Первый способ позволяет легко реализовать варианты с разным числом векторов во входной последовательности. Второй способ целесообразно использовать, когда число векторов неизменно, а необходимо изменять число признаков, либо заменять одни признаки другими. Для большей универсальности программы следует накладывать ограничения не на Л7я г, а на их произведение Nr.
В целях экономии памяти можно размещать по нескольку чисел в одной ячейке (если это позволяет допустимая точность представления чисел). Признаки векторов могут быть представлены как в виде числовых, так и в виде логических переменных (присутствие или отсутствие некоторого признака).
Недостатком второго способа является то, что при наличии "выбросов" значений признака происходит неоправданное сжатие диапазона значений этого признака. На рис, 4 изображена ось значений признака (крестиком отмечены конкретные значения, а кружком обведены выбросы),
В описанных способах нормирования влияние всех признаков на расстояние между векторами приблизительно одинаково; на практике часто оказывается, что признаки различаются по степени важности (имеют разные "веса"). Поэтому после нормирования следует учитывать весовые коэффициенты признаков, в общем случае не равные 1. Их значения определяются содержательной стороной задачи.
Обычно с одной и той же входной последовательностью производят несколько просчетов, отличающихся набором настраиваемых параметров, предусмотренных программой- Ниже перечисляются эти параметры: количество векторов IV; количество координат г (размерность пространства X): потенциальная функция К (х, у); номер начального вектора в аліоритме "Спектр"; граничное значение Агр






















