Содержание к диссертации
Введение
Глава 1. Современное состояние проблемы оптимизации деятельности учреждений службы крови (обзор литературы) 9
1.1. Анализ существующих форм организации деятельности службы крови в Россини в зарубежных странах 10
1.2. Развитие донорства в России и за рубежом 24
1.3. Пути оптимизации деятельности учреждений службы крови 32
1.4. Резюме 38
Глава 2. Методы исследования и их обоснование 40
2.1. Характеристика базы исследования 40
2.2. Методика исследования потребности лечебно-профилактических учреждений Свердловской области в крови, ее компонентах и препаратах 45
2.3. Методика исследования развития донорства в Свердловской области 49
2.4. Методика исследования деятельности учреждений службы крови 50
Глава 3. Анализ потребности лечебно-профилактических учреждений Свердловской области в крови, ее компонентах, препаратах 59
Глава 4. Анализ развития донорства в Свердловской области 74
Глава 5. Реструктуризация как путь повышения результативности деятельности учреждений службы крови 88
Заключение 121
Выводы 127
Предложения 129
Список литературы 131
Приложения
- Анализ существующих форм организации деятельности службы крови в Россини в зарубежных странах
- Развитие донорства в России и за рубежом
- Методика исследования потребности лечебно-профилактических учреждений Свердловской области в крови, ее компонентах и препаратах
- Методика исследования развития донорства в Свердловской области
Введение к работе
Актуальность проблемы.
Служба крови является одной из важнейших составных частей
отечественного здравоохранения и обеспечивает оказание
трансфузиологической помощи как в мирное время, так и при чрезвычайных ситуациях, что имеет общегосударственный стратегический характер, затрагивающий вопросы безопасности страны [31].
Основные принципы деятельности службы крови заключаются в обеспечении максимальной безопасности взятия крови и ее компонентов для донора и гемотрансфузии для больного; планировании производственной деятельности службы крови в соответствии с реальными потребностями ЛПУ в гемотрансфузионных средствах и возможностями учреждений службы крови по заготовке донорской крови и ее фракционированию; оперативном внедрении достижений трансфузиологической науки и практики, новых и передовых технологий. Кроме того, должна быть обеспечена общедоступная, высококвалифицированная и бесплатная трансфузиологическая помощь в лечебно-профилактическом учреждении [74].
Существуют разные варианты организации службы крови, в том числе: централизованная (с единым национальным центром службы крови и соподчиненными региональными и иными учреждениями); региональная (несколько самостоятельных региональных центров службы крови); госпитальная (каждая больница имеет свой банк крови); смешанная (наряду с национальным и региональными центрами имеются самостоятельные учреждения службы крови больниц) [100].
Как известно, главной опорой службы крови является донорство крови и ее компонентов. Однако в последнее десятилетие донорство переживает значительный спад, что, в основном, связано с ухудшением демографической ситуации, ликвидацией прежней плановой системы организации донорства, с недостаточной пропагандой донорства в средствах массовой информации,
неудовлетворительным финансированием учреждений: службы, крови. Общее количество доноров в России за пятнадцать лет уменьшилось более чем в; два раза [4].
Кровь, компоненты крови и препараты крови; сегодня в России заготавливаются и производятся на 182 станциях переливанияікрови (ЄПК); 969 отделениях переливания' крови (ОПК); 5 производственных корпусах фракционирования*плазмы [85]: При всей многочисленности учреждений:(около 1500) служба крови заготавливает только 2 млн. литров крови, перерабатывает 180;5 тонн плазмы, поскольку мощность производств (более 40)? не превышает 30 тонн. Для сравнения, в,СИМ заготавливается, 12 млн. литров цельной крови и перерабатывается, на; 6 крупных фирмах около 4000 тонн плазмы крови; Приведенные данные, свидетельствуют о том, что служба крови; России, в силу структурных и функциональных дефектов организации? труда; . работает непроизводительно и нерентабельно [81].
Важнейшим 'условием успешного развития службы крови, является, совершенствование нормативной? правовой- базы, регулирующей^ ее деятельность. Многие положенижЗакона Российской Федерации «О донорстве крови* и ее компонентов» устарели; носят декларативный характер и не учитывают современные тенденции развития- общества и государства; В; этой связи назрела необходимость подготовки новой* редакции; вышеназванного Закона1. Нуждается: в; существенном улучшении и отраслевая правовая база по службе крови- [17]; Снижена активность Российского общества Красного Креста; органов управления; здравоохранением по привлечению населения^ к донорству. Администрация? учреждений; на которые: ранее производились выезды; с целью заготовки, крови; занимают в проведении: этой? акции пассивную' позицию; а сотрудники, вследствие возможных нареканий руководителей неохотно покидают рабочие места. Необходимы, меры по расширению социальной базы: безвозмездного донорства, поиску моральных стимулов к донорству, совершенствование методов управления службой, крови [3,4].
Существует целый перечень проблем, которые необходимо решать для оптимизации сети учреждений службы крови. Одна из этих проблем -отсутствие адекватного финансирования, что привело к тому, что материально-техническая база большинства учреждений службьькрови оказаласьморально и физически изношенной. В свою очередь, этот факт существенно сдерживает внедрение в практику современных мировых и отечественных технологий по обеспечению безопасности и эффективности гемотрансфузионной терапии [76].
По мнению экспертов ВОЗ, для службы крови необходимо выделять в бюджете отдельную статью' расходов, составляющую 0,5-1,5 % всех затрат на медицинские учреждения [31].
Другой, не менее важной проблемой, является необходимость создания единой информационной-базы данных учреждений службы крови.
Мировой' опыт показывает необходимость пересмотра существующей* в России^ организационной модели службы крови, а именно, переход к централизации, что целесообразно * с технической, профессиональной и финансовой точек зрения [75, 76]: Необходимо рассмотреть возможность перехода от существующей зональной структуры службы крови к. делению по федеральным округам [76].
Учитывая стратегическое значение службы крови в охране здоровья населения, проблема самообеспечения страны кровью, ее компонентами и препаратами должна решаться на государственном уровне, комплексно, с привлечением всех заинтересованных министерств и ведомств, с целевым направлением на ее1 развитие финансовых средств из всех возможных источников.
Несмотря на важность, и значительное внимание органов управления здравоохранением к данной» проблеме, она все1 еще остается недостаточно разработанной, что делает актуальной научную проработку как теоретических, так и практических ее аспектов.
Цель исследования. Разработать и научно обосновать оптимальную организационно-технологическую схему службы крови субъекта Российской Федерации.
Задачи исследования заключались в следующем:
Проанализировать существующие формы организации деятельности службы крови в России и в зарубежных странах.
Определить потребность лечебно-профилактических учреждений' Свердловской'области в крови, ее компонентах и препаратах.
3: Провести анализ развитшвдонорства в Свердловской области:
Оценить медико-организационные аспекты деятельности, существующей схемы службы крови в Свердловской области.
Разработать и внедрить оптимальную, с точки5 зрения результативности, организационно-технологическую* схему службы, крови Свердловской- области.
Научная новизна исследования.
Впервые представлен комплексный анализ потребности лечебно-профилактических учреждений" Свердловской,области в крови, ее.компонентах и препаратах.
Впервые с помощью существующих и вновь разработанных методов проведен сравнительный анализ деятельности альтернативных схем службы крови: Доказана эффективность разработанной-схемы.
Разработан метод интегральной оценки медицинской^ результативности деятельности учреждений службы крови, дающий возможность упорядочения и создания единообразия; системы учета деятельности и планирования- работы, обеспечения рационального управления в рамках бюджетирования, ориентированного на результат.
На основе обобщения полученных материалов разработаны* основные пути повышения результативности деятельности учреждений службы крови.
Практическая значимость исследования.
Разработаны методические подходы к организации исследования
результативности деятельности учреждений службы крови.
Разработана система мониторирования доноров Свердловской области, позволяющая решать задачи заготовки, обеспечения безопасности и эффективности всех этапов «трансфузиологической цепи».
В результате проведенных исследований разработана и внедрена оптимальная результативная схема службы крови Свердловской области.
Положения, выносимые на защиту:
Реструктуризация службы крови обосновывается невыполнением потребности лечебно-профилактических учреждений в крови, ее компонентах и препаратах.
Для обеспечения функционирования службы крови необходима информатизация, в том числе мониторирование доноров — как основного ресурса получения крови и ее компонентов.
3. Оценка деятельности организационно-технологических схем службы
крови основывается на расчете интегральных показателей результативности, |
основными направлениями развития службы крови являются реструктуризация,
централизация заготовки и переработки крови, лабораторного тестирования.
Апробация исследовательской работы:
Основные положения и результаты диссертации докладывались на областных и региональных совещаниях сотрудников службы крови (г. Первоуральск, 2003-2008 г.г., г. Тюмень, 2007 г., г. Сургут, 2007 г.), коллегии Министерства здравоохранения Свердловской области «О состоянии работы службы крови Свердловской области в условиях модернизации» (г. Екатеринбург, 2006 г.); съезде гематологов и трансфузиологов (г. Москва, 2006 г.); международной научно-практической конференции «Роль здравоохранения в охране общественного здоровья» Национального научно-исследовательского института общественного здоровья РАМН (г. Москва, 2007 г.); конференции «Актуальные вопросы гематологии и трансфузиологии» (г. Санкт-Петербург, 2007 г.).
Материалы диссертации использованы:
при подготовке методических рекомендаций «Медико-организационный анализ деятельности учреждений службы крови», утвержденных Министерством здравоохранения Свердловской области;
при разработке компьютерной программы «Автоматизированная информационная система в службе крови Свердловской области»;
при подготовке решения коллегии Министерства здравоохранения Свердловской области «О состоянии работы службы крови Свердловской области в условиях модернизации», утвержденного приказом Министра здравоохранения Свердловскойобласти № 566-П от 17.07.2006 г.;
при составлении областной государственной целевой программы і «Развитие донорства крови, производства инфекционно-безопасных компонентов и препаратов крови в учреждениях службы крови Свердловской области на 2009-2011 годы»;
в учебном процессе курса «Трансфузиология» кафедры анестезиологии
и реаниматологии Уральской' государственной медицинской академии; ) учебного процесса ГОУ ДПО «Уралмедсоцэкономпроблем» Министерства здравоохранения Свердловской области, кафедры «Экономика и управление здравоохранением» Уральского государственного экономического университета.
Материалы диссертации опубликованы в 9 печатных работах, в' том числе 1 - в издании, рекомендованном ВАК РФ.
Структура и- объем работы. Диссертационная работа состоит из введения, указателя литературы, включающего 101 отечественный И' 21 зарубежный- источник, 5-ти глав, заключения; выводов, предложений и приложений. Работа иллюстрирована 38 таблицами 17 рисунками. Общий объем работы - 150 страниц.
Анализ существующих форм организации деятельности службы крови в Россини в зарубежных странах
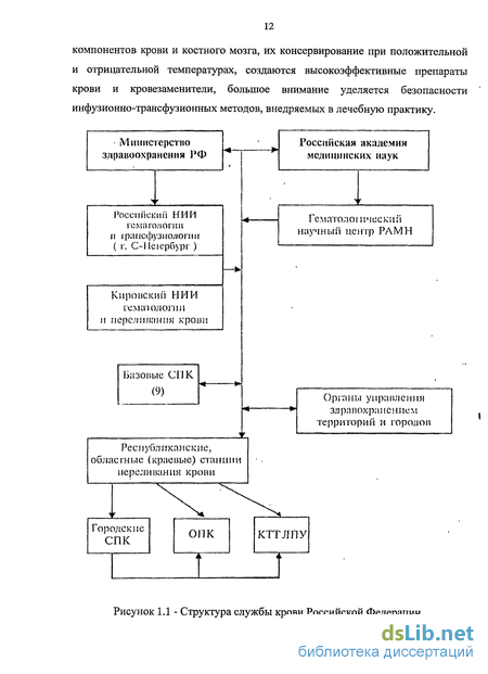
Служба крови России в настоящее время представлена сетью специальных учреждений, главной задачей которых является обеспечение лечебно-профилактических учреждений компонентами и препаратами из донорской крови. Учреждения службы крови совместно с организациями Красного Креста и Красного Полумесяца планируют, комплектуют и учитывают донорские кадры, осуществляют их медицинское обследование, ведут заготовку консервированной крови и переработку ее на компоненты и препараты. Задачей учреждений службы крови является также распределение трансфузионных сред по лечебным учреждениям, контроль за их рациональным использованием, оказание консультативной и организационно-методической помощи на местах [74]. Структура службы крови Российской Федерации представлена на рисунке 1.1.
Служба крови является государственной организацией с единым организационно-методическим руководством и адекватным финансированием.
Основные принципы деятельности службы крови: обеспечение і максимальной безопасности взятия крови и ее компонентов для донора и гемотрансфузии для больного; планирование производственной деятельности службы крови в соответствии с реальными потребностями ЛПУ в гемотрансфузионных средах и возможностями учреждений службы крови по заготовке донорской крови и ее фракционированию; оперативное внедрение достижений трансфузиологической науки и практики, новых и передовых технологий; общедоступная, высококвалифицированная и бесплатная трансфузиологическая помощь в ЛПУ [100]. До 2005 года в Министерстве здравоохранения и социального развития РФ (МЗ СР РФ) в составе Департамента организации медицинской помощи населению имеется штатная должность заместителя начальника отдела специализированной медицинской помощи, через которого МЗ координировалась работа учреждений службы крови. На сегодняшний день координатора службы крови нет, что является существенным недостатком в работе в данной отрасли здравоохранения. В Ученом совете МЗ СР РФ имеется секция, рассматривающая все принципиально новые предложения по совершенствованию службы крови страны, а также производственной деятельности и трансфузиологической помощи населению. В состав секции входят видные ученые - трансфузиологи и гематологи страны, представитель МЗ СР РФ, опытные главные врачи республиканских, областных (краевых) станций переливания крови и специалисты по транс фузионной медицине. В настоящее время указанную секцию УС МЗ РФ возглавляет директор ГНЦ РАМН академик РАМН А.И. Воробьев [82].
Структура службы крови имеет 3 основных звена: научно-исследовательские институты гематологии и переливания крови, станции и отделения переливания крови, кабинеты трансфузионной терапии.
К первому звену службы крови относятся научно-исследовательские институты гематологии и переливания крови. Среди них Гематологический научный центр Российской Академии медицинских наук (ГНЦ РАМН), разрабатывающий фундаментальные проблемы гематологии и трансфузионной медицины, обеспечивающий научное и методическое руководство службой крови страны, Российский НИИ гематологии и трансфузиологии (г. Санкт-Петербург) (РосНИИГТ), Кировский НИИ гематологии и переливания крови (КНИИГПК). Два последних института находятся в подчинении МЗ СР РФ. Они разрабатывают специальные вопросы трансфузионной медицины, внедряют ее достижения в лечебную практику, являются организационными, методическими и консультативными центрами службы крови страны. Кроме того, на базе ГНЦ РАМН и ІСНИИГПК расположены кафедры усовершенствования врачей по одноименному профилю. В НИИ разрабатываются новые виды донорства, их безопасность, методы получения компонентов крови и костного мозга, их консервирование при положительной и отрицательной температурах, создаются высокоэффективные препараты крови и кровезаменители, большое внимание уделяется безопасности инфузионно-трансфузионных методов, внедряемых в лечебную практику.
Развитие донорства в России и за рубежом
В последние десятилетия в нашей стране, как и во всем мире, наблюдается неуклонный рост потребностей лечебных учреждений в компонентах и препаратах крови. В связи с этим непрерывно возрастает актуальность проблемы донорства. Расчеты отечественных специалистов и опыт ведущих зарубежных стран свидетельствуют о том, что для полного удовлетворения потребностей лечебных учреждений компонентами и препаратами крови необходимо, чтобы кровь ежегодно давали 40-50человек,из каждой тысячи населения З, 28].
Массовое донорство в нашей, стране получило развитие с 1926 года. Основной курс был взят на безвозмездное донорство, являющееся высшей формой гражданского- гуманизма, и патриотизма. Это направление остается основным в мировом донорском движении и активно поддерживается Всемирной организацией здравоохранения: Безвозмездное донорство получило наиболее интенсивное развитие с 1957 года, когда оно- было- поддержано соответствующими директивными документами. Правительства бывшего Советского Союза и-РСФСР; а также деятельностью центральных и местных Обществ Красного Креста и Красного Полумесяцахпо.привлеченикьнаселения к этой акции [4].
За последние 15 лет общее количество доноров, в России неуклонно уменьшается. Так, в 1985 году общее количество доноров составляло 5,6 миллиона человек, через 10 лет в 1995 году - 2,9 миллиона; а к 2004 году достигло 2,0 миллионов. Количество доноров на 1 тыс. населения в 2004 году составляет всего 14,5, в Европе это количество в среднем составляет 40,2. Теоретически донорами могут быть 10-15 % населения, а в России ими являются только 1,6 %. За последние годы на 23,0 % сократилось количество первичных доноров, на 40,3 % - иммунных доноров, на 44,0 % - доноров клеток крови [27,55, 81].
Среди причин, приведших к такому неблагополучному положению с донорством в России - экономические и социальные проблемы, которые отрицательно повлияли на состояние здоровья всего населения; рост инфекционных заболеваний (СПИД, гепатиты, сифилис, туберкулез), приводящий к снижению количества донороспособного населения; незаинтересованность работодателей в участии работников предприятий в донорстве; значительное сокращение числа работающих на предприятиях; отсутствие хорошо организованной, доступной, грамотной, целенаправленной пропаганды донорства [4].
Проблему донорства в России изучали такие организаторы здравоохранения, как Селиванов Е.А. (2000, 2004,2007) [84, 85], Шарыгин С.Л. (2004) [98], Жибурт Е.Б. (2001, 2002, 2004, 2005) [25, 27, 28, 34], Могилева В.Н. (1998) [59], Нижечик Ю.С. (1997) [61] и другие.
Данные литературы позволили представить обобщенную картину развития донорства в зарубежных странах.
Практически в каждой стране существует своя схема организации донорства. У американцев, как и у россиян, есть две мотивации к сдаче крови: миссия и деньги. В США на тысячу жителей приходится 109 донаций в год. Из них 62 донаций выполняют безвозмездные доноры, которые в основном сдают кровь и тромбоциты для лечения больных людей, и 47 донаций осуществляется платными донорами. Это, в основном, доноры плазмы, которые сдают до 50 литров плазмы в год. В США доноры получают от 15 до 20 долларов за каждую кроводачу. В России в ряде регионов доноры получают больше (в Москве донорам крови выплачивают около 600 рублей за донацию крови, 1200 рублей за донацию плазмы, 1500 рублей за донацию тромбоцитов) [32,52].
В Европе развивается «haemovigilance» (буквально - гемобезопасность) -система процедур наблюдения, охватывающих всю трансфузионную цепь (от донации крови и ее компонентов,до мониторинга реципиентов трансфузий), предназначенных для сбора и оценки? информации; о? неожиданных или нежелательных- явлениях,, происшедших вследствие клинического? применения1 лабильныхпродуктов крови иг для профилактики развития- или; повтора-.-таких инцидентов? (таблица; 1.1.): Проблемы в этой; области: разработка общих, определений; стандартов; форм; обменам информацией, быстрые сообщения- и ранние предупреждения; (ЕаЬег ЛG, Люксембург). Сердце банка?крови? - научно обоснованное качество работы лабораторной службы, считает Boultom F. (Великобритания): Наряду с внутренним; контролем . необходим внешний контроль, качества лабораторных исследований; базирующийся на широком международном участии [22]2
Методика исследования потребности лечебно-профилактических учреждений Свердловской области в крови, ее компонентах и препаратах
Рекомендуемые нормы расхода компонентов донорской крови из расчета на одну профильную койку в год, а также расчет нормы расхода компонентов донорской крови на одного пролеченного больного в год определены приказом Министерства здравоохранения СССР № 155 от 12.04.1990 г. «О совершенствовании деятельности учреждений службы крови в условиях нового хозяйственного механизма» (таблица 23.).
Данные об общем коечном фонде по Свердловской области представлены Г0УЗ «Медицинский информационно-аналитический центр» Министерства здравоохранения Свердловской области (таблица 3.1). Отчетным периодом выбраны 2002-2007 годы. Расчеты потребности в компонентах крови проводились по 22 профилям коек и в целом по всем профилям коечного фонда. В диссертации исследовалась расчетная и фактическая потребность в эритроцитсодержащих средах, концентрате тромбоцитов и свежезамороженной плазме. Таблица 2.3 Расчет потребности в компонентах крови из расчета на одну профильную койку №п/п Наименование профиля койки Рекомендуемые нормы расхода эритроц. концентрат свежезам
Расчет ориентировочной потребности в препаратах крови проводился на основании данных методических рекомендаций «Сбалансированное планирование различных видов донорства в учреждениях службы крови», утвержденных Министерством здравоохранения СССР от 4 апреля 1990 года. Нормативы для расчета потребностей в препаратах крови следующие: - криопреципитат — 8500 доз/ на 1 млн. населения в год; - альбумин - 1400 л/ на 1 млн. населения в год; - иммуноглобулины всех видов - 60000 доз/ на 1 млн. населения в год. Не менее важным вопросом является определение планового объема крови, ее компонентов и препаратов, производимых учреждениями службы крови. Планирование объемов заготовки крови происходит следующим образом.
Учреждения службы крови самостоятельно разрабатывают свои планы, используя в качестве основы планирования научно-обоснованные нормативы расхода трансфузионных сред и прямые заявки лечебных учреждений на компоненты и препараты крови, контрольные цифры плановых заданий. Установление величины планируемого объема производства осуществляется путем сопоставления производственной мощности, потребности, и фактически достигнутого в базовом году объема производства по всей планируемой номенклатуре препаратов и компонентов в натуральном выражении. Если фактический выпуск превышает потребность региона в данной трансфузионной среде, а производственные возможности используются не полностью, то могут быть следующие варианты установления планового задания: - планируется фактически выпускаемый объем данной трансфузионной среды; - планируется объем, равный потребности в данной трансфузионной среде, а избыток мощностей используется для производства других трансфузионных сред; - планируется максимальный выпуск трансфузионной среды, излишки которой реализуются по плану кооперированных поставок в другие регионы.
Если фактический выпуск ниже потребности региона в данной трансфузионной среде, а производственные возможности использованы полностью, то возможен такой вариант установления планового задания: - планируемый объем производства данной трансфузионной среды принимается равным производственной- мощности, а дефицит покрывается за счет кооперированных поставок из других регионов.
Могут быть и другие варианты соотношения этих основополагающих величин, определяющих реализацию плановых заданий.
Далее определяются объемы заготовки сырья (крови и плазмы), необходимые для производства компонентов и препаратов в объемах, установленных в проекте плана, при этом расчет производится в обратном порядке - от конечных продуктов переработки.
При определении объемов плазмьг, необходимых для получения запланированных объемовшрепаратов крови, расчет производится по конечным продуктам технологического цикла фракционирования белков плазмы -альбумину и иммуноглобулинам. Однако1 при этом учитывается? комплексный характер переработки плазмы в соответствии! с типовым, регламентом производства препаратов крови.
Объем плазмы, необходимый для производства препарата крови, определяется как отношение запланированного объема этого препарата- из Л л плазмы. При расчете объемов плазмы, необходимых для производства альбумина, необходимо учитывать возможность его получения из иммунной плазмы в процессе производства иммуноглобулинов. Таким образом, объем плазмы для переработки на препараты равен сумме объемов нативной и иммунной плазмы, необходимых для производства альбумина и специфических иммуноглобулинов. Общий объем плазмы, необходимый, для реализации производственного плана, равен сумме объемов плазмы (нативной, иммунной), запланированной к выдаче в лечебные- учреждения для переливания и необходимой для переработки на препараты, крови; Этот объем, в зависимости от технологии, применяемой на станции переливания крови, может быть получен путем: - центрифугирования консервированной крови; . 49 - жесткого центрифугирования консервированной крови; - плазмафереза; ; - кооперированных поставок.
Методика исследования развития донорства в Свердловской области
Как видно из данных таблицы 5.1 в 2006 году увеличилось количество заготовленной консервированной крови на 7,0 % по сравнению с 2002 годом, что связано с вступлением в силу областного Закона, по которому донору, сдавшему 3 раза кровь, выплачивается единовременное пособие в размере 900 рублей, а также с расширением метода плазмафереза, что позволяет рационально использовать донорские1 ресурсы. Производство эритроцитной массы в 2006 году снизилось по сравнению с 2002 годом на 32,1 %. В то же время, возросло более чем в 2 раза производство замороженной эритроцитной массы, в 3,5 раза — _ эритроцитной массы, что говорит о расширении номенклатуры выпускаемой продукции, а также связано с тем, что увеличилось число так называемых «опасных реципиентов», которые требуют переливание данных трансфузионных сред по индивидуальному подбору. Количество заготовленного тромбоконцентрата уменьшилось на 21,0 %, что связано с недостаточным количеством доноров тромбоцитов и малым количеством аппаратов для проведения тромбоцитофереза на СПК. В последние годы для выдачи в ЛПУ используется только свежезамороженная плазма, обладающая лучшими качественными показателями по сравнению с замороженной нативной плазмой, поэтому данный продукт крови не изготавливался. Снижение производства свежезамороженной плазмы связано с уменьшением потребности ЛПУ в данном компоненте крови. Количество произведенного криопреципитата снижено в связи с применением в лечении больных гемофилией очищенных факторов свертывания. Производство альбумина 10 % практически не изменяется, незначительное снижение выпуска происходит из-за недостатка сырья. Увеличилось производство иммуноглобулина человека нормального на 12,0 % и иммуноглобулина против клещевого энцефалита на 1%, что обусловлено эпидемиологической обстановкой в области. Производство антистафилококкового иммуноглобулина снизилось на 34,0 % в связи с недостатком иммунной плазмы для его производства. Производство иммунологических стандартов практически не изменялось в течение 5 лет.
В таблице 5.2 отражены показатели деятельности службы крови. Как видно из таблицы обеспеченность кадрами в службе крови выросла на 1,8 % и остается высокой в течение 5 лет. Основная часть сотрудников занята в заготовке крови (55,8 %), в производстве препаратов - 14,9 %. В структуре донорских кадров преобладают безвозмездные доноры — 96,0 %, причем данный показатель увеличился по сравнению с 2002 годом на 5,1 %. На это же количество уменьшилось число платных доноров. Соответственно и изменились объемы заготовленной крови от безвозмездных и платных доноров. Количество первичных доноров существенно не менялось. На 1,4 % увеличилось число доноров плазмы, что связано с увеличением производства плазмы методом плазмафереза. Количество доноров клеток крови (тромбоцитов) увеличилось на 180,0 %, что связано с внедрением аппаратного тромбоцитафереза. Количество доноров на 1000 населения с каждым годом уменьшается на 5,0-9,0 % и говорит об общем снижении числа доноров, а также низкой активности населения в донорском движении. Показатели заготовки цельной крови на 1 жителя и на 1 койку увеличились на 10,0 %, что говорит о более полном обеспечении населения компонентами и препаратами крови. Число безвозмездных крово- и плазмодач от одного донора в год остается стабильным в течение 4 лет. С каждым годом растет показатель объема одной безвозмездной кроводачи, в 2006 году по сравнению с 2002 годом - на 11,0 %, что связано с внедрением двукратного плазмафереза и аппаратных методов заготовки крови. Объем заготовки плазмы методом плазмафереза увеличился на 28,6 % и является показателем рационального использования донорских кадров. Абсолютный брак консервированной крови остается практически стабильным в течение 5 лет (3,7-3,5 %), что связано с достаточно высокой заболеваемостью гемотрансмиссивными инфекциями, в области. Заготовленная плазма и форменные элементы крови использовались на производство компонентов и препаратов из них. Показатель выхода альбумина из 1 литра плазмы является одним из показателей качества при производстве препаратов крови и остается стабильным в течение 5 лет.
В таблице 5.3 приведены качественные показатели работы службы крови, многие из которых охарактеризованы выше. Объем переливаемых эритроцитсодержащих сред увеличился на 12,0 %, что связано с внедрением высокотехнологичных видов медицинской помощи и изменением схем лечения онкогематологических больных. Высоким остается показатель, списания эритроцитной массы по истечении срока годности, что говорит о недостаточном внедрении метода плазмафереза и нерациональном использовании донорского потенциала. Существенно изменились показатели фильтрации эритроцитной массы (с 0 % в 2002 году до 86,0 % в 2006 году) и карантинизации (с 0 % в 2002 году до 99,9 % в 2006 году), что обеспечивает инфекционную безопасность компонентов донорской крови на высоком уровне.





















